Структура полисахаридов

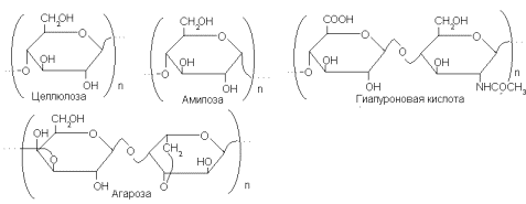
Углеводные цепи, построенные по принципу олигосахаридов, можно продолжать почти до бесконечности. Так создаются высокомолекулярные структуры – полисахариды. Вот несколько примеров линейных регулярных полисахаридов (в квадратных скобках – фрагменты, отвечающие так называемым повторяющимся звеньям) (см. с. 27).

Целлюлоза построена из остатков моносахаридов одного типа – из остатков глюкопиранозы. Все гликозидные связи имеют b -конфигурацию и соединяют гликозидный центр одного остатка с кислородным атомом при С-4 следующего (такие связи сокращенно обозначают b -1 à 4). Амилоза устроена аналогично, но все гликозидные связи имеют противоположную конфигурацию ( a -). В гиалуроновой кислота (одним из наиболее распространенных полисахаридов соединительной ткани) в цепи чередуются остатки двух разных моносахаридов – D-глюкуроновой кислоты и N-ацетил-D-глюкозамина – со связями b -1 à 3 и b -1 à 4 соответственно. В агарозе, главном гелеобразующем компоненте агара, также чередуются остатки двух моносахаридов: b -D-галактопиранозы и 3,6-ангидро- a -L-галактопиранозы.

Все четыре рассмотренных полисахарида имеют неразветвленную углеродную цепь и называются в связи с этим неразветвленными, или линейными. Замечательная особенность их структур – высокая регулярность. Это значит, что один сравнительно небольшой фрагмент структуры



многократно повторяется на всем протяжении цепи, причем других структурных элементов в полисахариде не содержится. Такой фрагмент называют повторяющимся звеном. Так, например, повторяющееся звено целлюлозы – 1 à 4-связанный остаток b -D-глюкопиранозы, амилозы – 1 à 4-связанный остаток a -D-глюкопиранозы, гиалуроновой кислоты и агарозы – соответствующие дисахаридные остатки.

Понятие повторяющегося звена, даже для таких простейших структур, как целлюлоза, амилоза, гиалуроновая кислота или агароза, не так примитивно, как может показаться на первый взгляд. Можно, конечно, отнестись к нему просто как к удобной форме сжатой записи, отражающей основные черты ковалентной структуры цепи, так:

Подобная запись не только описывает структуру, но и является прямым выводом из результатов химического анализа этих структур. Например, можно осуществить такое расщепление гиалуроновой кислоты и агарозы, при котором практически единственными продуктами будут дисахариды 33 и 34 – гиалобиоуроновая кислота и агаробиоза соответственно, из чего следует, что именно они являются «мономерами», из которых построены эти полимеры.


Более глубокий анализ структур этих полисахаридов может, однако, привести к другим выводам.

Для целлюлозы и амилозы хорошо известна характерная конформация цепей, т.е. то, как макромолекула организована в пространстве. Для целлюлозы это прямой стержень, в котором каждое следующее звено повернуто на 180 ° по отношению к предыдущему, как показано в формуле 35.

Такая структура действительно строго регулярна и периодична, т.е. сдвиг определенного участка цепи вдоль ее оси приводит к точному наложению на следующий участок – подобно тому, как это имеет место в кристалле. В этом смысле молекула целлюлозы – одномерный кристалл. Из формулы 35 легко видеть, что такой минимальный участок (шаг цепи) – это не моносахаридный, а дисахаридный остаток. Поэтому с точки зрения конформации цепи повторяющимся звеном в целлюлозе является не остаток глюкозы, а остаток дисахарида целлобиозы.

С амилозой дело обстоит сложнее. Ее молекула – спираль, на одном витке которой помещается точно шесть остатков глюкозы. Как любая правильная спираль, эта система повторяет сама себя, если ее сдвинуть вдоль оси на длину одного витка. В этом смысле повторяющееся звено амилозы представляет собой отрезок цепи из шести моносахаридных остатков, т.е. остаток гексасахарида мальтогексаозы.

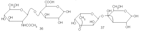
Применительно к гиалуроновой кислоте и агарозе дисахаридные фрагменты также не отражают строения конформационных повторяющихся звеньев этих полисахаридов. Однако на этом примере нам хотелось бы указать еще один аспект понятия повторяющегося звена. Дисахариды 33 и 34, как уже говорилось, являются продуктами частичного расщепления цепей химическими методами. Поэтому естественно приписать этим полисахаридам структуру из повторяющихся звеньев именно этих дисахаридов. Поскольку к такой структуре приводит логика химического исследования, соответствующий фрагмент принято называть «химическим» повторяющимся звеном.

Точно такую же цепь можно, однако, построить иначе, взяв за основу структуру изомерных дисахаридов 36 и 37 (они получаются при сдвиге вдоль цепи не на два, а на одно моносахаридное звено).

Многие полисахариды синтезируются клеткой по такой схеме: сначала происходит синтез олигосахарида, а затем его поликонденсация, сшивание в длинные цепи. Такой олигосахарид в биологическом смысле, т.е. с точки зрения путей биосинтеза этого полисахарида, и является истинным мономером полисахаридной цепи. Поэтому такой фрагмент называют «биологическим» повторяющимся звеном. И оно совсем необязательно совпадает с химическим повторяющимся звеном.

Можно, наконец, рассмотреть и еще один – также биологический – аспект понятия о повторяющемся звене, связанный с взаимодействием готовой полисахаридной цепи с другими макромолекулами в живых системах. Речь в данном случае идет о том, каков минимальный фрагмент цепи, воспринимаемый другими молекулами или системами (назовем их рецепторами) как характерный признак данного полисахарида. Сюда относится широкий круг феноменов, таких, как иммунные реакции организма, сортировка макромолекул в клетке и в организме, преодоление клеточных барьеров, метаболизм полисахаридов и т.д.

Рассмотрим лишь один наиболее простой пример: ферментативный гидролиз полисахаридов. Распространенный фермент животных организмов (лизоцим) специфически расщепляет гликозидные связи b -1 à 4-связанных остатков N-ацетил-D-глюкозамина в полисахаридных цепях. В частности, он легко катализирует гидролиз полисахаридных цепей хитина :

Для того, чтобы фермент мог нормально работать, его рецептору нужно одновременно «чувствовать» участок цепи из шести остатков глюкозамина: тогда он способен выполнять свою функцию – расщеплять четвертую гликозидную связь в этой последовательности. Если же регулярная цепь содержит меньше, чем шесть остатков, или они связаны иначе, чем в хитине, фермент не работает. Таким образом, «с точки зрения лизоцима», повторяющееся звено в хитине – гексасахаридный фрагмент.

Полисахариды, о которых мы говорили выше, относятся к числу простейших полисахаридных структур. Даже неразветвленные полисахариды, построенные из остатков моносахарида одного типа, могут иметь гораздо более сложное строение. Так, например, глюкан овса содержит сопоставимые количества остатков b -D-глюкопиранозы, связанных 1 à 3- и 1 à 4-связями. При этом, в отличие, например, от агарозы или гиалуроновой кислоты, эти связи не чередуются правильным образом и не образуют сколько-нибудь значительных блоков из однотипных связей. Поэтому чередование двух типов связей в полисахаридной цепи приходится в данном случае характеризовать как хаотическое. Этим утверждением можно было бы и ограничиться. Мы, однако, пока не знаем, является ли хаотичность истинной или кажущейся. В самом деле, здесь может быть (хотя отнюдь не обязательно должна быть) упорядоченность высшего порядка, которую мы пока не в состоянии уловить при помощи существующих (относительно грубых) методов исследования. Это можно пояснить, прибегнув к такой аналогии.

Статистический анализ страницы текста показал бы более или менее случайное распределение в нем всех букв алфавита, не обнаружил бы ни правильного чередования (например, каждая пятая буква – «а»), ни блочного строения (нет более или менее длинных последовательностей одинаковых букв). Между тем буквы в тексте высоко организованы по крайней мере на трех уровнях: они сгруппированы в осмысленные слова, слова объединены в грамматически правильные фразы, а последовательность фраз логически организована в информативный текст.

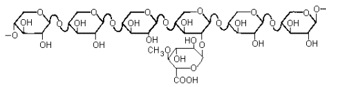
Таким образом, мы видим уже два принципа построения полисахаридных цепей: правильное чередование (регулярность) и хаотическое расположение фрагментов (снова подчеркнем: хаотическое с точки зрения сегодняшних знаний). Возможен, кроме того, и блочный принцип. Так, например, устроена альгиновая кислота – полисахарид бурых водорослей (кстати, имеющий большое практическое значение как гелеобразователь). В ее линейную цепь входят остатки b -D-маннуроновой кислоты (38) и a -L-гулуроновой кислоты, соединенные 1 à 4-связями.

Структурный анализ этого полисахарида показывает, что в его цепи имеются участки трех типов: более или менее длинные последовательности из мономеров одного типа, аналогичные последовательности мономеров второго типа, и участки, где остатки маннуроновой и гулуроновой кислот чередуются более или менее хаотически. Схематически такую структуру можно изобразить так:

…А-А-А-А-А-А-А-А-А-А-А-Б-А-Б-Б-А-А-

-Б-А-Б-Б-А-Б-Б-Б-Б-Б-Б-Б-Б-Б…

Наконец, сравнительно недавно было установлено, что некоторые полисахаридные цепи могут быть одновременно менно и нерегулярными, и регулярными, не нарушая при этом незыблемый принцип логики – закон исключительного третьего.

Возьмем один из полисахаридов красных водорослей – порфиран. Он построен из чередующихся остатков D- и L-галактопиранозы (и в этом смысле подобен агарозе). Однако часть остатков D-галактозы превращена в метиловый эфир (по положению 6), а остатки L-галактозы входят в полисахарид частично в виде эфиров серной кислоты по положению 6, а частично в виде 3,6-ангидропроизводного, как в агарозе. Вариации каждого типа остатков распределены вдоль цепи хаотически, поэтому в целом цепь весьма нерегулярна. Однако, если порфиран обработать щелочью, то в остатках галактозы, этерифицированных серной кислотой, происходит замыкание 3,6-ангидроциклов. В результате все остатки L-галактозы становятся одинаковыми: нерегулярность по этим остаткам исчезает.

Дальше можно все гидроксильные группы полисахарида превратить в метиловые эфиры (это делается при помощи метилирования – весьма важной в химии полисахаридов реакции, к рассмотрению которой мы еще вернемся). При этом унифицируется структура всех остатков D-галактозы. Получается производное полисахарида, содержащее совершенно правильное чередование метилированных остатков D-галактопиранозы и 3,6-ангидро-L-галактопиранозы (полисахарид становится регулярным).

Весьма важно, что метилирование заведомо регулярного полисахарида (агарозы) приводит к точно такому же (идентичному) метиловому эфиру, который получается описанным путем из порфирана.

Такая «регулярность-нерегулярность» была обнаружена английским ученым Рисом и названа им «замаскированной регулярностью» или «замаскированной повторяющейся структурой». В последнее время накапливается ряд данных, указывающих на то, что такая замаскированная регулярность – довольно распространенный принцип построения многих линейных полисахаридных цепей. Суть этого принципа не сводится только к тому, что нерегулярности могут быть (фактически или только в принципе) устранены с помощью той или иной обработки. Дело здесь значительно глубже. Можно полагать, что многие типы полисахаридов имеют достаточно регулярный


скелет цепи, в которой некоторые звенья варьируют по типу или (и) конфигурации отдельных заместителей, что сравнительно мало отражается на геометрии макромолекулы в целом. А иногда, наоборот, такие вариации вносят в регулярную структуру определенные, биологически осмысленные нарушения, вызывающие, например, изломы в правильных спиралях. Подробнее об этом мы расскажем ниже.

До сих пор мы рассматривали только линейные полисахариды и видели, что даже для простейших биополимеров этого класса, построенных из остатков одного-двух моносахаридов, возможны весьма значительные вариации типов структур, не говоря уже о бесчисленных вариациях конкретных структур внутри каждого типа. Системы, однако, резко усложняются, а возможности вариаций практически безгранично возрастают, если мы еще учтем существование разветвлений. Геометрия разветвленных полисахаридов может быть схематически типизирована следующим образом.

Простейшие разветвленные системы содержат одну длинную линейную цепь, к которой присоединены разветвления в виде одиночных моносахаридных остатков или в крайнем случае в виде коротких олигосахаридов. Так устроен, например, ксилан, выделенный из березы. К регулярной цепи из b -1 à 4-связанных остатков D-ксилопиранозы присоединены единичные остатки 4-О-метил-D-глюкуроновой кислоты, в среднем один на каждые десять ксилозных звеньев. Такие системы иногда называют «гребнеобразными полисахаридами».

Следующий шаг на пути усложнения структур – полимерный характер боковых цепей, т.е. случай, когда боковые цепи сами являются остатками более или менее высокомолекулярных полисахаридов. Простейшим примером может служить один из полисахаридов бурых водорослей – так называемый растворимый ламинарин. Его главная цепь построена из b -1 à 3-связанных остатков D-глюкопиранозы, некоторые из которых несут разветвления в положении 6, а сами разветвления представляют собой тоже регулярные полисахаридные цепи, структурно вполне аналогичные главной. Такую молекулу уже трудно изобразить на бумаге достаточно подробно. Поэтому мы здесь прибегнем лишь к схематичному изображению, в котором полисахаридные цепи символизируются стрелками:

Боковые полисахаридные цепи, в свою очередь, могут быть разветвлены, а полисахариды, присоединенные к этим боковым цепям, также могут нести разветвления и т.д. Так строятся древовидные структуры высокоразветвленных полисахаридов.

Для иллюстрации рассмотрим строение одного из простейших представителей такого класса – амилопектина, который вместе с амилазой составляет крахмал. Аналогично амилопектину устроен животный крахмал (гликоген). Все цепи этих полисахаридов – и основная, и боковые, и разветвления в разветвлениях и т.д. построены однотипно и состоят из a -1 à 4-связанных остатков D-глюкопиранозы. Все узлы разветвлений – точки ветвления – построены так же единообразно: боковые цепи присоединены к другой цепи гликозидной связью в положение 6 остатка глюкозы.

И, наконец, последний структурный тип полисахаридов можно было бы назвать ультраразветвленным. Так устроен галактан одного из видов улиток. К остатку галактозы присоединено два галактозных остатка в положениях 3 и 6. Каждый из этих остатков, в свою очередь, несет по два других галактозных остатка, также присоединенных в положения 3 и 6, к которым аналогичным образом присоединены еще по два галактозных остатка, и т.д. Таким образом весь полисахарид (а он весьма высокомолекулярен) состоит из сплошных разветвлений.


Каждый моносахаридный остаток, за исключением концевых, является узлом ветвления, а понятие главной цепи теряет смысл (так как любую из большого числа цепей, которые можно выделить в структуре такого полисахарида, можно формально считать главной).

Строение такого галактана представлено на схеме (кружок со стрелкой символизирует остаток галактопиранозы, а его острый конец – гликозидный центр).

Следует сказать, что между четырьмя названными крайними типами может существовать бесчисленное множество промежуточных структур, что структуры узлов ветвления и полисахаридных цепей внутри одной полисахаридной молекулы вовсе не обязательно одинаковы и что полисахаридные молекулы могут быть построены не из одного, а из двух, трех, четырех, пяти, шести, семи и даже восьми типов моносахаридов. (Подчеркнем, что мы разбираем не просто теоретические возможности, а структурные особенности, встречающиеся в реальных полисахаридах). Все это создает гигантские, истинно неисчерпаемые возможности вариаций полисахаридных структур и их пространственной организации, далеко превосходящие возможное разнообразие структур каких-либо других типов макромолекул живых систем (что можно показать строго математически). А мы еще ничего не сказали о структурных вариациях внутри каждого конкретного полисахарида. Но это требует специальной главы.