Ламинараны

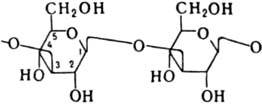
ЛАМИНАРАНЫ (ламинарины), запасные полисахариды водорослей. наиб. известны ламинараны бурых водорослей (Laminaria, Fucus), построенные из остатков D-глюкопиранозы, соединенных в линейные цепи b-1:3-связями. Наряду с линейными ламинараны могут содержать слаборазветвленные молекулы (1-3 точки ветвления), причем боковые цепи присоединяются связями b-1:6; изредка эти связи содержатся и в линейных цепях. До 75% молекул м.б. присоединены связью b-1:1 к остатку D-маннита (М-цепи), остальные оканчиваются остатком глюкозы со своб. гликозидным центром (G-цепи). Средняя мол. м. 3,5-5 тыс. (степень полимеризации обычно 20-25), [a]D от —12 до — 14° (вода).
561_579-37.jpg
Ламинараны из разных видов водорослей различаются степенью разветвления молекул, содержанием маннита, числом и взаимным расположением 1:6-связей, величиной мол. массы. Кроме бурых водорослей, присутствие ламинаранов установлено в диатомовых (хризоламинаран, лейкозин), зеленых и эвгленовых (парамилон) водорослях. Ламинараны - бесцв. аморфные в-ва без запаха и вкуса; не раств. в орг. р-рителях, легко раств. в горячей воде; в холодной воде раств. только разветвленные или обогащенные b-1:6-связями в линейных цепях ламинараны ("растворимые"). Обычный источник "растворимого" ламинарана-Laminaria digitata, "нерастворимого" - Laminaria hyperborea. По хим. св-вам ламинараны- типичные представители полисахаридов. Обладают слабыми восстанавливающими св-вами. Сравнительно легко гидролизуются к-тами до глюкозы (нагревание образцов водорослей с 0,5 М H2SO4 в течение 5 ч при 100 °С), на чем основано определение ламинаранов в прир. сырье. В более мягких условиях протекает частичный гидролиз ламинаранов, при к-ром образуются З-О-b-D-глюкопиранозил-D-глюкоза (ламинарибиоза) и ее высшие олигомергомологи (ламинаридекстрины). Ферменты, гидролизующие ламинараны, - ламинаразы и ламинариназы - широко представлены в бактериях, грибах, водорослях, высших растениях, моллюсках; продукты ферментативного расщепления - глюкоза или олигосахариды. Известны экзо-1:3-b-глюканазы, к-рые гидролизуют ламинараны, не затрагивая b-1:6-связи, до глюкозы и 6-О-b-О-глюкопиранозил-D-глюкозы (генциобиозы); по выходу последнего дисахарида можно оценить содержание в ламинаранах b-1:6-связей. Биосинтез ламинаранов, по-видимому, состоит в переносе остатков глюкозы из уридиндифосфатглюкозы на маннит или олигосахаридный предшественник. Под действием ферментов ламинараны участвуют в обеспечении клеток углеводным питанием. Содержание ламинаранов в водорослях подвержено большим сезонным колебаниям, причем наиб. кол-ва соответствуют фазе замедленного роста (осень, зима). Ламинараны извлекают из водорослей горячей водой или разб. к-тами; сопутствующие кислые полисахариды отделяют осаждением в виде нерастворимых солей (напр., с катионными детергентами типа цетилтриметиламмонийбромида) или ионообменной хроматографией. M-Цепи и G-цепи разделяют хроматографически с использованием в качестве сорбента диэтиламиноэтилцеллюлозы (ДЭАЭ-сефадекс) в молибдатной форме. При получении маннита и альгиновых к-т из бурых водорослей сопутствующие им ламинараны можно использовать как источник глюкозы. Сульфатированные ламинараны - антикоагулянты крови гепариноподобного действия; наиб. активностью обладают препараты с высоким содержанием сульфатных групп. Производные ламинаранов с меньшей степенью сульфатирования проявляют антилипемич. активность. Нек-рые водоросли, содержащие ламинараны (напр., морская капуста), - пищ. продукты.
Литература
Блэг В. А. П.. в кн.: Методы химии углеводов, М., 1967, с. 371 -73; Percival Е. К., McDowell R. H., Chemistry and enzymology of marine algal polysaccharides, N. Y.-L, 1967; Industrial gums. Polysaccharides and their derivates, N.Y.-L, 1973; Plant carbohydrates. I. Intracellular carbohydrates. В., 1982; The polysaccharides, v. 2, N.Y., 1983. А.И. Усов.