Структура гликозидов

Циклические формы сахаров – полуацетали. Это, вообще говоря, малостабильный тип соединений, склонных либо расщепляться до исходного альдегида или кетона, либо вступать в конденсацию со следующей молекулой спирта (необязательно того же самого) с образованием полного ацеталя. В сахарах первое направление реакций проявляется в мутаротации. Второе направление столь же характерно. Моносахариды в присутствии кислотных катализаторов реагируют с разнообразными спиртами с образованием полных несимметричных ацеталей, так называемых гликозидов, как показано на схеме на примере образования a -этил-L-рамнопиранозида из L-рамнозы и этанола.

В структуре гликозида можно выделить два фрагмента: моносахаридный остаток, называемый гликозильным остатком (изредка гликоном), и остаток спирта, который называется агликоном. Связь между гликозильным остатком и агликоном носит название гликозидной связи. Термин «гликозиды» - общее название всего класса, а названия гликозидов конкретных моносахаридов производят от названия этих моносахаридов: глюкоза – глюкозиды, галактоза – галактозиды, арабиноза – арабинозиды, рамноза – рамнозиды и т.д.

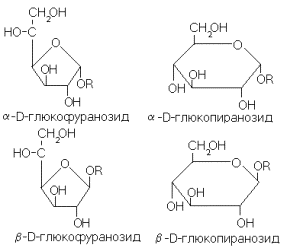
В структуре каждого гликозида, например приведенного на схеме рамнозида, легко усмотреть соответствие одной из четырех циклических форм исходного моносахарида. Каждой из трех остальных соответствует свой изомер гликозида, которых, таким образом, для данного моносахарида и данного спирта может быть четыре, как покахано на схеме

Сходство начинается и кончается структурным подобием гликозильного остатка и одной из циклических форм свободного моносахарида, не распространяясь ни на важнейшие свойства гликозидов, ни на пути их получения. Во-первых, гликозиды устойчивы, и отнюдь не подвергаются самопроизвольным взаимопревращениям: это истинные изомеры, четыре различных устойчивых вещества. Во-вторых, при образовании гликозидов из моносахаридов одна из циклических форм моносахарида совсем не приводит к автоматически к образованию гликозида со структурно подобным гликозильным остатком. Наоборот, как правило, это не происходит. Ниже мы подробнее разберем сложный и важный вопрос о путях синтеза гликозидов. В-третьих, характерные реакции моносахаридов, связанные с наличием у них карбонильной группы (типа образования серебрянного зеркала), полностью отсутствуют у гликозидов.

Аналогично описанным выше гликозидам со связью между агликоном и гликозильным остатком через атом кислорода (О-гликозиды) могут быть построены еще два класса производных по С-1: так называемые S-гликозиды и N-гликозиды, образующиеся из остатков моносахаридов и меркаптанов или аминов. Как и О-гликозиды, они также могут существовать в виде четырех изомеров. Свойства гликозидов всех трех типов существенно зависят от электроотрицательности и основности гетероатомов гликозидной связи. Наиболее специфичны и непохожи на остальные свойства N-гликозидов, особенно если последние образованы из первичных аминов с достаточно высокой основностью. Такие соединения легко получаются непосредственно из моносахарида и амина (например, при непродолжительном нагревании с кислотой), а в водных растворах испытывают таутомерные превращения, аналогичные мутаротации свободных моносахаридов. Последнее особенно резко отличает такие N-гликозиды от их кислородных и серных аналогов, характеризующихся высокой стабильностью циклической системы.

Наиболее распространенной в природе и важной для химии углеводов является О-гликозидная связь.

Гликозиды простых спиртов, таких как метанол или этанол,- обычно синтетические вещества. А вот большинство известных гликозидов сложных спиртов – природные соединения (это, конечно, не значит, что они не могут быть получены синтетическим путем). Природные гликозиды чрезвычайно разнообразны: они могут содержать различные углеводные остатки (причем для каждого, конечно, возможны четыре изомера) и очень различные агликоны. Большое разнообразие структур агликонов природных гликозидов можно понять. Дело в том, что живые системы весьма широко пользуются присоединением углеводов к тем или иным соединениям, главным образом, малорастворимым в воде, для повышения их растворимости в водной среде (основной жидкой фазе клетки), для снижения токсичности вредных метаболитов и т.д. Главным, почти универсальным способом присоединения сахаров, которым пользуется для этих целей природа, является образование гликозидной связи. Иными словами, гликозидный центр моносахаридов представляет собой их универсальный «стыковочный узел», применяемый для связывания с другими системами и, как мы увидим ниже, друг с другом.