Циклические (полуацетальные) формулыстроения моносахаридов
Хотя альдегидные и кетонные формулы строения моносахаридов и хорошо объясняли многие реакции этих веществ, однако вскоре начали накопляться факты, которые на основании этих формул не могли быть объяснены.
1. Оказалось, что альдогексозы, вступая во многие реакции, характерные для альдегидов (окисление, присоединение HCN и др.), в то же время не обнаруживают некоторых альдегидных реакций. Например, глюкоза не дает в обычных условиях окрашивания с фуксинсернистой кислотой (реакция Шиффа), не образует в обычных условиях бисульфитного соединения с NaHSO3, а также не вступает в некоторые другие реакции, характерные для альдегидов.
2. При стоянии свежеприготовленных растворов моносахаридов их удельное вращение изменяется. Это явление называется мутаротацией (иногда мультиротацией).
3. Способы образования и свойства некоторых производных моноз, в частности так называемых алкилгликозидов, непонятны, если принимать для моноз формулы многоатомных альдегидо- или кетоноспиртов. Гликозиды образуются при нагревании моносахаридов со спиртами в присутствии небольших количеств сухого хлористого водорода. При нагре-
D-Глицериновый альдегид и альдозы D-ряда с 4, 5 и 6 атомами углерода

вании с разбавленными минеральными кислотами гликозиды легко гидролизуются, давая вновь молекулу монозы и одну молекулу спирта, например:

Если принимать для глюкозы приведенную выше альдегидную формулу, то непонятно, почему из пяти спиртовых гидроксилов лишь один оказывается особенно реакционноспособным. Непонятно также, почему гликозиды так легко гидролизуются, будучи соединениями типа простых эфиров, как известно очень трудно гидролизуемых.
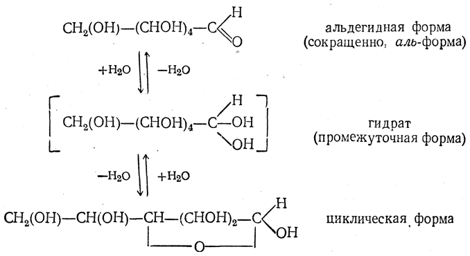
Все эти факты становятся понятными, если принять, что альдегидная формула соответствует лишь одной из таутомерных форм моносахаридов и что в растворах моносахаридов большинство их молекул содержится в виде таутомерных циклических форм, представляющих собой внутримолекулярные полуацетали многоатомных альдегидо- или кетоноспиртов.
Впервые циклическую полуацетальную формулу глюкозы предложил А. А. Колли (1870). Он объяснил отсутствие некоторых альдегидных реакций у глюкозы наличием трехчленного этиленоксидного (α-окисного) цикла:

Позже Толленс (1883) предложил аналогичную полуацетальную формулу глюкозы, но с пятичленным (γ-окисным) бутиленоксидным кольцом:

После того как были в основном отчетливо развиты представления о таутомерии и таутомерных превращениях, было сделано предположение (Скрауп, 1889), что глюкоза в раство-
pax существует в двух таутомерных формах — альдегидной и циклической:

В новейших работах, как мы увидим далее, было показано, что такие моносахариды, как глюкоза, манноза, галактоза, содержат не пятичленные — γ-окисные, а шестичленные — δ-окисные циклы.