альфа- и бета-Формы моносахаридов
α- и β-Формы моносахаридов. Каждая циклическая форма моносахаридов благодаря появлению нового асимметрического углеродного атома, входившего ранее в карбонильную группу, должна существовать, так же как и ее производные, в двух модификациях. Такие модификации были вначале неизвестны. Однако в дальнейшем из глюкозы удалось получить дзе стереоизомерные модификации метилглюкозида, названные α-и β-глюкозидами (Э. Фишер, Ван-Экенштейн, 1893—1894), а затем выделить две модификации свободной глюкозы (Танре, 1895) и других моносахаридов. По аналогии с α- и β-глюкозидами они были названы α- и β-формами:

Возможность существования α- и β-форм не зависит от числа членов в цикле, как это легко видеть из приведенных формул. α-Формой называют такую форму, у которой расположение полуацетального гидроксила такое же, как гидроксила (свободного или участвующего в образовании оксидного кольца) у асимметрического углеродного атома, определяющего принадлежность к D- или к L-ряду.
При обозначении α-форм моносахаридов D-ряда полуацетальный гидроксил обычно пишут справа, а у α-форм моносахаридов L-ряда — слева:

Иногда α- и β-формы называют анамерами (от греч. ана — вверх, кверху от..), так как при вертикальном изображении формул альдоз эти формы отличаются конфигурациями у первого, обычно записываемого вверху, углеродного атома.
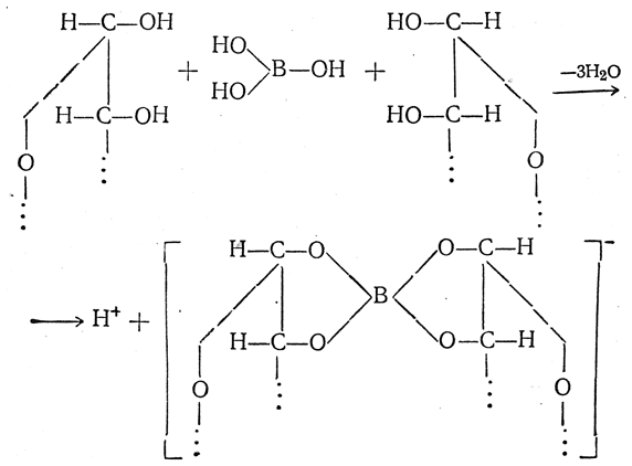
Принадлежность данной модификации исследуемого моносахарида к α- или к β-форме обычно устанавливают, применяя разные методы, в частности находя относительное расположение полуацетального гидроксила и гидроксила у соседнего углеродного атома. Для этого часто пользуются определением электропроводности раствора борной кислоты в присутствии исследуемой формы моносахарида. Если оба гидроксила расположены по одну сторону плоскости окисного кольца (цис-положение), то борная кислота образует с глюкозой сильно диссоциированную, обладающую высокой электропроводностью в растворах комплексную кислоту:

При транс-расположении этих гидроксилов образование таких комплексных кислот оказывается стерически невозможным и растворы обладают низкой электропроводностью. Таким путем было установлено, что α-глюкоза обладает цис-положением гидроксилов, а β-глюкоза — транс-положением (Бузекен, 1913).