Характер окисных колец моносахаридов
. Пиранозы и фуранозы. Со времен работ Толленса, и особенно после формулирования теории напряжения Байера, для циклических полуацеталей моносахаридов принимали существование пятичленного бутиленоксидного, или γ-окисного кольца.
Считалось, что здесь проявляется постулируемая теорией напряжения легкость образования пятичленных циклов; в качестве косвенного подтверждения приводили тот факт, что, например, лактоны альдоновых кислот являются γ-лактонами:

В 20-х годах нашего века возникли сомнения в правильности формул с пятичленными циклами. Исследования, проведенные в 1925—1930 гг., показали, что моносахариды (глюкоза, манноза, галактоза и др.) обычно содержат не пяти-, а шестичленные кольца.
Хеуорс разработал следующий метод определения строения кольца. В молекуле моносахарида, например глюкозы, замещают во всех гидроксильных группах атомы водорода на метильные группы. Полученное пентаметильное производное гидролизуют разбавленной кислотой. При этом гидролизуется только метоксильная группа у первого атома углерода, тогда как метоксильные группы у остальных углеродных атомов, связанные по типу простых эфиров, в этих условиях не гидролизуются. Из продуктов окисления полученной тетраметилглюкозы азотной кислотой выделена в виде диамида триметоксиглутаровая кислота (один из ее изомеров — ксилотриметоксиглутаровая кислота):

Получение при окислении тетраметилглюкозы соединения, содержащего при четвертом углеродном атоме метоксильную группу, служит несомненным доказательством того, что четвертый углеродный атом исходного моносахарида не мог участвовать в образовании полуяцетального кольца. Следовательно, глюкоза обладает не пятичленным, γ-окисным, а шестичленным, δ-окисным, циклом.
В дальнейшем наличие в моносахаридах шестичленных циклов было доказано и другими методами, в частности путем так называемого периодатного окисления.
Некоторые производные моносахаридов, а также свободные монозы, в водных растворах содержат в небольших количествах изомерные формы с пятичленными кольцами.
Э. Фишер еще в 1914 г. выделил, кроме α- и β-метилглкжозидов, еще третий глюкозид, названный им γ-глюкозидом. Он оказался смесью двух глюкозидов с пятичленным кольцом, которые находятся друг к другу в таком же отношении. как α- и β-глюкозиды с шестичленным циклом:

Моносахариды, входящие в состав некоторых полисахаридов, обладают иногда пятичленными циклами. Так, например, в состав тростникового сахара, а также в состав полисахарида инулина остаток фруктозы входит с пятичленным, γ-окисным, циклом.
В водных растворах моносахаридов не обнаружено таутомерных форм с трех-, четырех- или семичленными циклами (т. е. α- и β- или ε-окисных форм), хотя в специальных условиях производные этих форм могут быть получены.
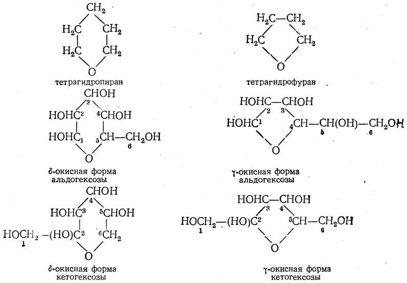
Окисные формы моносахаридов с полным правом можно рассматривать как производные гетероциклических соединений: шестичленные — как производные пирана, а пятичленные — как производные фурана, точнее как производные тетрагидропирана и тетрагидрофурана:

Хеуорс предложил для моносахаридов новую номенклатуру и новый способ условного перспективного изображения структур, очень наглядно показывающий взаимное пространственное расположение гидроксильных групп:

По номенклатуре Хеуорса, δ-окисные формы гексоз называют пиранозами, а γ-окисные — фуранозами, добавляя к этим названиям начальные слоги обычного названия моносахарида. Таким образом, например, правовращающая глюкоза получает название глюкопиранозы. Обычная фруктоза (с δ-окисным кольцом) называется фруктопиранозой; форма же фруктозы (с γ-окисным кольцом), входящая в состав тростникового сахара, будет называться фруктофуранозой.