Гликолипиды

ГЛИКОЛИПИДЫ (от греч. glykys-сладкий и липиды), соед., построенные из липидного и углеводного фрагментов, соединенных ковалентной связью. Гликолипиды широко распространены в природе (они обнаружены в животных, растениях и микроорганизмах) и охватывают разнородные по структуре соединения.

В зависимости от природы липидной части гликолипиды можно разделить на четыре группы: 1) гликозилдиглицериды, липидная часть к-рых представляет собой остаток глицерина, ацилированный в положения 1 и 2 высшими жирными к-тами; 2) гликосфинголипиды, в к-рых липидным фрагментом является церамид-остаток высшего аминоспирта (сфингозинового основания), N-ацилированного высшей жирной к-той; 3) полипренилфосфатсахара, у к-рых липидная часть молекулы представляет собой остаток полипренола Н(СН2С(СН3)=СНСН2)nОН; 4) гликолипиды микроорганизмов, в состав к-рых входят остатки высших жирных к-т, ацилирующих остатки Сахаров или неуглеводных компонентов молекулы.

Подавляющее большинство гликолипидов относится к первым двум группам и являются важными компонентами мембран (см. также Ганглиозиды, Цереброзиды, Фосфоинозитиды).

Полипренилфосфатсахара-промежут. соединения при переносе остатков моно- или олигосахаридов на строящуюся углеводную цепь при биосинтезе полисахаридов и др. углеводсодержащих биополимеров (напр., гликопротеинов, липополисахаридов). Углеводный фрагмент связан с остатком полипренола через остаток фосфорной или пирофосфорной к-ты. В клетках эукариот полипренолы содержат от 14 до 24 изопреновых единиц, из к-рых концевая, несущая группу ОН, является насыщенной (долихолы), а бактериальные - 10-12 единиц, среди к-рых нет насыщенных. В полипренилмонофосфатах углеводная часть обычно представляет собой остаток маннозы или глюкозы, в поли-пренилпирофосфатах - остаток глюкозы, галактозы или N-ацетилглюкозамина, а в нек-рых случаях-остаток олигосахарида.

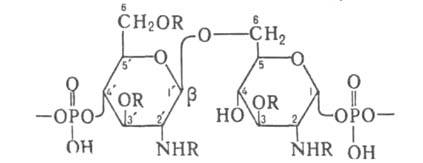
Гликолипиды микроорганизмов включают обширную группу соед., сильно различающихся по строению и св-вам. Примером является липид А-компонент липополисахаридов грам-отрицат. бактерий, отвечающий за их эндотоксич. св-ва. Основное структурное звено липида А в большинстве случаев представляет собой1114-17.jpg-1 -> 6-связанный дисахарид D-глюкозамина, фосфорилированный в положения 1 и 4' (см. ф-лу, R-остаток высшей жирной к-ты-обычно1114-18.jpg-гидрокситетрадекановая, гидроксигруппа к-рой, в свою очередь, м. б. ацилирована). Др. примером гликолипидов микроорганизмов являются О-ацилированные остатками миколевой к-ты моно-, ди- и полисахариды, а также гликолипопептиды, выделенные из ряда.штаммов микобактерий.
1114-19.jpg

Несмотря на большое разнообразие структур, гликолипиды обладают нек-рыми общими св-вами. Гликолипиды являются ПАВ. Благодаря присутствию длинных алифатич. цепочек, они могут раств. в нек-рых орг. р-рителях (напр., в бутаноле, смеси хлороформа и метанола), а наличие углеводной части придает им р-римость в воде, возрастающую с увеличением длины углеводной цепи. Выбор способов выделения гликолипидов из ткани и разделение их на классы зависит от полярности исследуемых гликолипидов.

Литература

Жукова И. Г., Смирнова Г. П., "Успехи биологической химии", 1968, т. 9, с. 220-44; Sweeley С, Siddiqui В., "Glycoconjugates", 1977, № 1, р. 459-540; Sweeley С, Cell surface glycolipids, Wash., 1980 (ACS Symposium, Series 128). Г.П.Смирнова.