Гликосфинголипиды

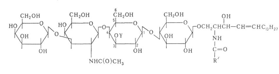
ГЛИКОСФИНГОЛИПИДЫ, липиды общей ф-лы , где R и R'-алкил или алкенил (могут содержать гидроксигруппу) с 13-24 атомами С; Х-остаток углевода. В зависимости от структуры X делятся на нейтральные (моно- и олигогликозилцерамиды), к-рые содержат в молекуле нейтральные сахара и N-ацетиламиносахара, и кислые (ганглиозиды и сульфогликозилцерамиды), содержащие в углеводном остатке карбоксильные группы или остаток серной к-ты.

1114-30.jpg
1114-31.jpg

Название гликосфинголипидов по правилам ИЮПАК определяется углеводной частью молекулы. Так, соед. ф-лы I (Y = Н, в общей ф-ле Х-остаток ганглиотетраозы) наз. ганглиотетраозилцерамидом и обозначается GgOse4Cer, где GgOse-олигосахаридная цепь, Сег-остаток церамида (в общей ф-ле X = Н); цифра в ниж. индексе показывает кол-во остатков моносахаридов в олигосахаридной цепи.

Гликосфинголипиды-белые твердые в-ва. Умеренно раств. в орг. р-рителях. Расщепляются к-тами, водными р-рами щелочей и специфич. ферментами.

Гликосфинголипиды широко распространены в животных тканях [R-обычно СН3(СН2)12СН=СН], меньше-в растениях [R-гл. обр. СН3(СН2)13СН(ОН)]. Локализованы в осн. на пов-сти плазматич. мембраны, где выполняют ф-ции антигенов и групповых в-в крови, входят в состав рецепторов, а также участвуют в регуляции роста и адгезии клеток и иммунологич. процессов.

Биосинтез гликосфинголипидов осуществляется в аппарате Гольджи путем переноса моносахаридов гл. обр. от уридиндифосфатсахаров к церамиду в присут. специфич. гликозилтрансфераз. При нарушении метаболизма гликосфинголипидов из-за отсутствия в лизосоме нек-рых гликозидаз возникают болезни (сфинголипидозы), обусловленные повыш. содержанием в организме определенных гликосфинголипидов, напр. при болезни Гоше-глюкозилцерамида, при болезни Фабри-дигалактозилглюкозилцерамида. В препаративных кол-вах гликосфинголипиды получают из прир. источников. См. также Цереброзиды.

Литература

Видершайн Г. Я., "Успехи биологической химии", 1977, т. 18, с. 185-210; Sweeley С. Siddiqui В., "Glycoconjugates", 1977, v. I, p. 459-540; Hakomori S., "Annual Review of Biochemistry", 1981, v. 50, p. 733-64; Kanfer J., HakamoriS., Sphingolipid biochemistry, N.Y., 1983. Э.В. Дятловицкая.