Гликозиды
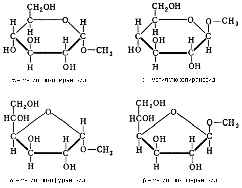
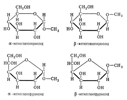
Гликозиды, продукты соединения (посредством легко гидролизуемых гликозидных связей) циклических 5- и 6-членных сахаров с веществами типа спиртов или фенолов.

Гликозидные связи образуются между ацетальным гидроксилом сахара и спиртовой группой неуглеводного компонента, т. н. агликона (при отщеплении молекулы воды). В зависимости от участия атомов S, О или N в образовании гликозидной связи различают S-, О- или N-гликозиды. Две последние группы гликозидов наиболее распространены в тканях растений и животных, a- и b-гликозиды различаются пространств. положением агликона по отношению к плоскости кольца углеводного компонента; их гидролиз протекает при участии ферментов a и b-гликозидаз. Классификацию гликозидов затрудняет разнообразие веществ, выступающих в роли агликона, определяющего специфическое биолгическое действие гликозидов. Содержащие глюкозу гликозиды называются глюкозидами. К гликозидам, содержащим дисахаридные остатки, относятся кроцин (содержащий генциобиозу) и ксанторамнин (рамнозу). Полисахариды, также образуемые гликозидными связями, часто относят к гликозидам, а ферменты, их расщепляющие (например, амилазу), — к гликозидазам. Многие гликозиды — красящие вещества. Ряд гликозидов обладает значительной биологической активностью и применяется в медицине и биологии. Т. н. сердечные гликозиды, содержащиеся в растениях наперстянке, ландыше, строфанте и др., вызывают изменения сердечной деятельности; их применяют при заболеваниях сердца, они повышают сократительную способность сердечной мышцы, усиливают и укорачивают систолу, удлиняют диастолу, что ведет к улучшению кровоснабжения сердца и устраняет застойные явления. В эксперименте гликозид флоридзин используют для вызывания гликозурии; гликозид сапонин вызывает гемолиз эритроцитов. Важную роль в организме играют гликозиды, образуемые при соединении сахаров рибозы и дезоксирибозы с азотистыми основаниями, — т. н. нуклеозиды. Их фосфорные производные — нуклеотиды — участвуют в построении нуклеиновых кислот, а также являются коферментами.
Лит.: Химия углеводов, М., 1967, с. 205—32.
А. А. Болдырев.

Рис. к ст. Гликозиды.