Фенолы
ФЕНОЛЫ, ароматич. соед., содержащие в молекуле одну или неск. гидроксильных групп, связанных с атомами углерода ядра. По кол-ву ароматич. ядер различают собственно фенолы, наф-толы (2 конденсированных ядра), антролы (3 ядра), фенант-ролы (4), бензотетролы (5), по числу гидроксильных групп в молекуле - одно-, двух-, трех- и многоатомные фенолы. Простейший фенол- гидроксибензол ф-лы C6H5OH наз. фенолом, 1,2-, 1,3- и 1,4-гидроксибензолы наз. соотв. пирокатехином, резорцином и гидрохиноном; 1,2,3-, 1,2,4- и 1,3,5-тригидроксибен-золы - соотв. пирогаллолом, гидроксигидрохиноном и фло-роглюцином.
Св-вами фенолов обладают также гетероароматич. соед., содержащие гидроксильные группы, напр, гидроксипиридины.
Фенолы и их производные содержатся в древесине, торфе, буром и кам. углях, нефтяных остатках. В живой природе фенолы, гл. обр. в виде производных, присутствуют в клетках растений (флавоноиды, таннины, антоцианы, лигнин, меланины, гуминовые к-ты и др.); в своб. состоянии встречаются редко: фенол - в иглах и шишках сосны, лишайниках; пирокатехин - в чешуе лука, плодах грейпфрута; флороглюцин -в шишках секвойи, коре яблонь и слив; гидрохинон -в листьях и семенах груши; тимол (З-гидрокси-4-изопропил-толуол) - в листьях тимьяна.
Фенолы- бесцв. или окрашенные кристаллы либо аморфные в-ва; часто имеют сильный характерный запах. Нек-рые св-ва незамещенных фенолов приведены в табл.
Фенолы- слабые к-ты, причем их кислые св-ва усиливаются при введении в молекулу электроотрицат. заместителей. Фенолы хорошо раств. в этаноле, диэтиловом эфире, ацетоне, ограниченно - в бензоле, воде. Перегоняются с водяным паром.
В ИК спектрах фенолов характеристич. полосы поглощения валентных колебаний группы ОН (vOH) лежат в области частот 3390-3600 см-1; при сопряжении с карбонильной группой vOH снижается на 350-500 см-1. В УФ спектрах области поглощения 210 (e 6200) и 270 (e 1450) нм.
СВОЙСТВА НЕКОТОРЫХ ФЕНОЛОВ
| Соединение | Мол. м. | T. пл., °С | T. кип., 0C | PКа (25 0C, вода) | Р-римость в воде, % по массе | ||
| Фенол | 94,11 | 40,8 | 181,8 | 9,98 | 8,2 (20 0C) | ||
| Пирокатехин | 110,11 | 105 | 240 | 9,25 | 31,1 (20 0C) | ||
| Резорцин | 110,11 | 110 | 280,8 | 9,20 | 63,7 (20 0C) | ||
| Гидрохинон | 110,11 | 173,8 | 286,5 | 9,91 | 6,7 (20 0C) | ||
| Пирогаллол | 126,11 | 132,5 | 309 | — | 38,5 (25 0C) | ||
| Гидроксигидро-хинон | 126,11 | 140,5 | — | — | — | ||
| Флороглюцин | 126,11 | 223 | возг. | — | 1,12 (20 0C) | ||
| 1-Нафтол | 144,17 | 96,1 | 288 | 1,4 | 0,07 (21 0C) | ||
| 2-Нафтол | 144,17 | 122 | 295 | — | — | ||
| 2,7-Дигидро-ксинафталин | 160,11 | 194 | — | — | — | ||
| 2-Гидроксиби-фенил | 170,21 | 50 | 285,7 | — | — | ||
| 4-Гидроксиби-фенил | 170,21 | 63 | 319 | — | — | ||
| 2,2'-Дигидро-ксибифенил | 186,21 | 109 | 324,6 | — | — | ||
| 2,2-бис-(4-Гид-роксифенил)-пропан | 228,3 | 157 | 252/13 мм рт. ст. | — | — | ||
| 1-Антранол | 194,2 | 152 | разл. | — | Трудно раств. | ||
| 1-Фенантрол | 194,2 | 105-106 | — | — | — | ||
Фенолы вступают в р-ции как по гидроксильной группе, так и по ароматич. кольцу. Легко раств. в р-рах щелочей MOH с образованием солей - фенолятов ф-лы ArOM; исключение составляют т. наз. пространственно-затрудненные алкилфено-лы. Как и спирты, фенолы образуют эфиры: простые - с алкилга-логенидами или диалкилсульфатами и сложные - с хлоран-гидридами к-т; мн. эфиры обладают приятным запахом и используются в парфюмерии, напр, анизол. Замена группы ОН на NH2 происходит при действии на фенолы при повышенной т-ре NH3 и солей аммония, а также NH3 в водных р-рах гидросульфитов щелочных металлов (р-ции Бухерера).
Замещение гидроксила на водород в фенолах происходит под действием LiAlH4, а также при гидрировании при 325-400 0C и повышенном давлении в присуг. Al-, Со- и Мо-катализато-ров. Гидрирование при т-рах 150-250 0C в присут. Ni- и Pd-катализаторов в жидкой фазе приводит гл. обр. к алицик-лич. спиртам.
С наличием в молекуле фенолов группы ОН - сильного ор-то-пара-ориентанта - связана легкость электроф. замещения атомов H ядра при галогенировании, нитровании, суль-фировании и алкилировании. Галогенирование фенолов осуществляют как действием своб. галогенов (за исключением F2), так и с использованием др. реагентов (напр., CuCl2 в ДМФА или CHCl3, трет-бутилгипохлорита, N-бромсукцинимида). Фторфенолы обычно получают из диазониевых солей гидро-ксиаренов обработкой фтороборной к-той с послед, термич. разложением образовавшегося продукта (Шимана реакция). В пром-сти монохлорфенолы получают хлорированием фенолов Cl2 или SOCl2, ди-, три- и пентахлорзамещенные - прямым хлорированием в присут. AlCl3, FeCl3 или SbCl5 (см. Хлор-фенолы).
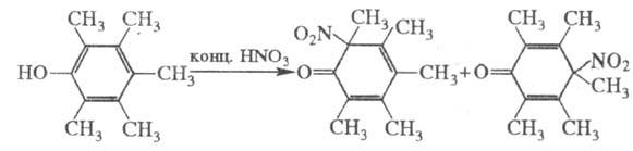
Нитрование фенолов разб. HNO3 идет с образованием смеси орто- и пара-мононитропроизводных; катализатор р-ции -нитрит щелочного металла. Другие нитрующие агенты - аце-тилнитрат, N2O4 и его комплекс с BF3. Нитрование фенолов конц. HNO3 или нитрующей смесью приводит обычно к смеси ди-и тринитропроизводных (см. Нитрофенолы). Полиалкил- или полигалогенфенолы в аналогичных условиях часто превращаются в смесь нитроциклогексадиенонов, напр.:

Сульфирование фенолов H2SO4 при низкой т-ре протекает с образованием орто- и пара-сульфопроизводных, сульфирова-ние олеумом при повышенной т-ре - с образованием смеси ди- и трисульфопроизводных (см. Нафтолсулъфокислоты, Фенолсулъфокислоты). Фенолы легко алкилируются алкилгалоге-нидами, спиртами или олефинами по Фриделя - Крафтса реакции в присут. к-т Льюиса (AlCl3, ZnCl2, BF3, SnCl4); при алкилировании олефинами в качестве катализатора часто используют конц. H2SO4 и катионообменные смолы. Др. катализаторы алкилирования фенолов- оксиды металлов (напр., Al2O3), металлы (Cu, Zn, Cr, Fe, Pb, Mo, W, Al), иногда -алифатич. эфиры бензолсульфокислот.
При действии CO2 на феноляты происходит карбокси-лирование фенолов по Кольбе - Шмитта реакции с образованием ароматич. гидроксикислот. Формилирование осуществляют действием на фенолы в щелочной среде CHHal3 по Рай-мера - Тимана реакции; продукты р-ции - ароматич. орто-гидроксиальдегиды. Многоатомные фенолы или их эфиры обычно ацилируют действием нитрилов или HCN в присут. HCl и катализатора (ZnCl2, FeCl3, CoCl2, AlCl3 и др.) по Хеша реакции.
Фенолы легко конденсируются с карбонильными соед. в присут. кислотных или основных катализаторов, напр.:

Конденсация фенолов с альдегидами приводит к феноло-альдегид-ньш смолам (см. также Резольные смолы, Резорцино-алъде-гидные смолы, Феноло-формалъдегидные смолы).
Окисление фенолов окислителями может осуществляться по разл. механизмам с образованием разнообразных соединений. Окисление фенолов в бескислородной среде под действием K3[Fe(CN)6], PbO2, Ag2O и др. приводит к образованию ароксилъныхрадикалов, стабильность к-рых зависит от кол-ва и строения алкильных заместителей в ароматич. ядре. Одноатомные фенолы под действием O2 воздуха или K2S2O8 (по Эльбса реакции)превращаются в двухатомные, к-рые в свою очередь под действием I2, Ag2O и др. легко превращаются в орто- и пара-хиноны. При этом первой стадией окисления является образование орто- или пара-семихинонных радикалов (см. Сем ихиноны).
В биол. объектах фенолы участвуют в окислит.-восстановит. р-циях обмена в-в, включая фотосинтез у растений. Являются регуляторами процессов жизнедеятельности, оказывая как ингибирующее, так и стимулирующее действие.
Фенолы выделяют из продуктов переработки твердых топлив или из растит, сырья. Существуют также многочисленные пром. синтетич. методы получения фенолов: окисление ароматич. углеводородов и циклоалканов, гидролиз арилгалогенидов, щелочное плавление ароматич. сульфокислот. Лаб. способы получения - гидролиз ароматич. аминов и простых алкиларило-вых эфиров, а также из солей диазония.
Для качеств, определения фенолов используют цветные р-ции с солями тяжелых металлов, напр, с FeCl3 фенол, резорцин и a-нафтол дают интенсивное фиолетовое окрашивание: кре-золы, 2,4-ксиленол, гидрохинон - синее, b-нафтол и пирокатехин - зеленое. В качестве реагентов для обнаружения фенолов используют диазосоединения, 4-аминоантипирин, NaNO2, MO-либдат и ванадат аммония.
Фенолы применяют в произ-ве разл. феноло-альдегидных смол, полиамидов, полиарилатов, полиариленсульфонов, эпоксидных смол, антиоксидантов, бактерицидов и пестицидов (напр., нитрафен). Алкилфенолы используют в произ-ве ПАВ, стабилизаторов и присадок к топливам. Двухатомные фенолы и их производные входят в состав дубителей для кожи и меха, модификаторов и стабилизаторов резин и каучуков, применяются для обработки кино- и фотоматериалов. В медицине фенолы и их производные используют в качестве антимикробных (фенол, резорцин), противовоспалительных (салол, осарсол), спазмолитических (адреналин, папаверин), жаропонижающих (аспирин, салициловая к-та), слабительных (фенолфталеин), адренолити-ческих (мезатон), вяжущих (таннины) и др. лек. ср-в, а также витаминов E и P.
Мировой объем произ-ва фенолов ок. 5 млн. т в год (1985), в наиб, кол-вах производят фенол, двухатомные фенолы, наф-толы, бисфенол А.
Лит.: Б ю л е r К., Пирсон Д., Органические синтезы, пер. с англ., ч. 1, M., 1973, с. 281-324; Харлампович Г.Д., Чуркин Ю.В., Фенолы, M., 1974; Общая органическая химия, пер. с англ., т. 2, M., 1982, с. 175-289; Kiik-Othmer encyclopedia, 3 ed., v. 17, N. Y., 1984, p. 373-83.
/f. Д. Синович, Г. П. Павлов.