Меланины
МЕЛАНИНЫ (от греч. melas, род. падеж melanos - черный), обычно черные или темно-коричневые пигменты животных, растений и микроорганизмов. У высших животных и человека меланины-осн. группа пигментов. У животных меланины придают окраску шерсти, у птиц - оперению, у человека ответственны за цвет глаз, волос, окраску кожи.
Меланины-аморфные высокомол. в-ва. Не раств. в воде, минер. к-тах, орг. р-рителях; хорошо раств. в щелочах, а затем выпадают в осадок при подкислении р-ров, что используется для их выделения. Хим. разрушение меланинов происходит при нагр. выше 200 °С, сплавлении со щелочью, окислении конц. р-рами КМnО4 или Н2О2.
По предшественникам меланинов в организме их разделяют на эумеланины, феомеланины и алломеланины. Эумеланины (черные) и феомеланины (желтые, красные и коричневые) распространены у животных, алломеланины (черные)-и в растениях, грибах, бактериях. Предшественник эумелани-нов-тирозин; из него в организме получаются пигменты, содержащие С, Н, N и О. Предшественники феомелани-нов-тирозин и цистеин; в организме превращ. в серосодер-жащие пигменты. Предшественники алломеланинов - ди-фенолы (пирокатехин и др.); из них образуются меланины, не содержащие азота. В организмах меланины находятся в комплексе с белками.
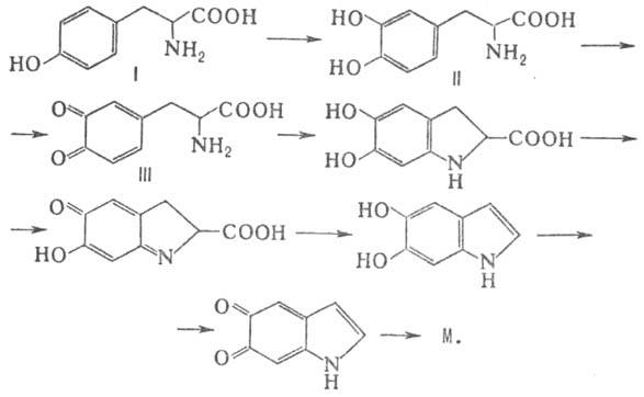
Мн. св-ва и биол. ф-ции меланинов определяются их способностью функционировать в организме в виде системы фенол-семихинон-хинон.- Механизм образования меланинов окончательно не выяснен. Полагают, что первые стадии биосинтеза меланинов являются ферментативными и катализируются о-дифенол: кислород оксидоредуктазами (напр., тирозина-зой, полифенолоксидазой и др.), послед. стадии протекают спонтанно с участием своб. радикалов. Предполагаемый механизм синтеза эумеланинов в организме под влиянием тирозиназы состоит в окислении тирозина (ф-ла I) до 3,4-дигидроксифенилаланина (ДОФА; ф-ла II) и ДОФА-хи-нона (III) с послед. циклизацией, декарбоксилированием, окислением и полимеризацией по схеме:

Меланины могут быть получены автоокислением ДОФА, 5,6-ди-гидроксииндола и др. дифенолов.
Разнообразие исходных мономеров и высокая активность промежут. продуктов делают хим. состав меланинов разнообразным, а структуру полимера-нерегулярной.
Меланины характеризуются наличием в их структуре неспаренных электронов и обладают св-вами стабильных своб. радикалов. Эта особенность меланинов важна для выполнения ими защитные ф-ций в организме. Меланины не только поглощают разл. излучения, но и нейтрализуют и обезвреживают опасные для клеток своб. радикалы, образующиеся при действии ионизирующего излучения и нек-рых хим. в-в на живые организмы.
Меланины могут существовать в неск. окислит.-восстановит. состояниях. Они окисляют Na2S2O4, восстановленную форму никотинамидадениндинуклеотида (НАДН) и др., восстанавливают феррицианид, цитохром с и др. Обладают электрон-транспортными св-вами. Р-ция восстановления ионов Ag до металла с помощью меланинов-гистохим. тест для их идентификации.
У животных и человека процесс образования меланинов в организме происходит в спец. клетках - меланоцитах и регулируется гормональной системой, гл. обр. с помощью гормонов гипофиза ( a- и b-меланоцитстимулирующих гормонов). Нек-рые физ. факторы (солнечные, УФ и рентгеновские лучи) и хим. реагенты стимулируют образование меланинов в организме. Повыш. содержание меланинов наблюдается также в нек-рых злокачеств. опухолях-меланомах.
Исп. литература для статьи «МЕЛАНИНЫ»: Бриттон Г., Биохимия природных пигментов, пер. с англ., М., 1986; Nicolaus R. A., Melanins, P., 1968; Blois М. S., "Photochemical and hotobio-logical Reviews", 1978, v. 3, p. 115-34. T.A. Телегина.