Фенолфталеин
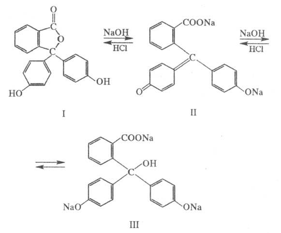
ФЕНОЛФТАЛЕИН [3,3-бмс-(4-гидроксифенил)фталид], ф-ла I, мол. м. 318,3; бесцв. кристаллы, т. пл. 277-279 0C (с разл.); раств. в этаноле и диэтиловом эфире, плохо раств. в воде. При сплавлении фенолфталеина с NaOH образуется 4,4'-дигидрокси-бензофенон, при натр, с конц. H2SO4 - фенол и 2-гидроксиан-трахинон. Получают фенолфталеин сплавлением фенола с фталевым ангидридом при 105-110 0C в присут. ZnCl2.
Фенолфталеин- кислотно-основной индикатор (интервал перехода окраски при рН 8,2-9,8). При растворении фенолфталеина в разб. р-рах щелочей он приобретает пурпурный цвет (соед. II) и обесцвечивается при прибавлении к-ты, а также в сильно щелочном р-ре (соед. III):

Под назв. "пурген" фенолфталеин применяют в медицине в качестве слабительного ср-ва (обладает кумулятивными св-вами, может оказывать раздражающее действие на почки).
Лит.: Бейтс Р., Определение рН. Теория и практика, пер. с англ., 2 изд., Л., 1972, с. 126.
Комментарии*
Дополнения к описанию фенолфталеина:
- Механизм изменения окраски: В кислой и нейтральной среде фенолфталеин существует в виде бесцветной лактонной формы. В щелочной среде (pH ~8,2-9,8) происходит депротонирование фенольных групп и раскрытие лактонного цикла, что приводит к образованию хиноидной структуры, ответственной за малиновую окраску. В очень концентрированных щелочах (pH > ~12) окраска вновь исчезает из-за разрушения хиноидной системы и образования бесцветного трифенилкарбинола.
- Современный статус в медицине: Из-за потенциальных побочных эффектов, включая канцерогенность при длительном применении, использование фенолфталеина в качестве слабительного средства запрещено во многих странах, включая США и государства Европейского союза.
- Другие применения: Помимо кислотно-основного титрования, фенолфталеин используется в качестве компонента некоторых "невидимых чернил" (проявляется при контакте с основанием) и как химический реагент в синтезе других соединений.
*Подобраны с помощью LLM, верифицированы, но возможны неточности.
Синонимы/примеры:*
Фенолфталеин; Пурген
*подобраны ИИ, возможны неточности
Дополнения к описанию фенолфталеина: