Эпоксидные смолы

ЭПОКСИДНЫЕ СМОЛЫ, олигомеры, содержащие в молекуле одну или более глицидиловых6041-50.jpg либо эпоксидных6041-51.jpg групп; способны под действием отвердителей превращаться в сшитые (сетчатые) полимеры. Эпоксидные группы могут находиться в алифатич. циклах или цепях, глицидиловые - чаще всего на концах цепей.
Эпоксидные смолы, содержащие в молекуле глицидиловые группы, синтезируют из эпихлоргидрина (иногда глицидола) и соед. с активным атомом водорода (спирты, фенолы, тиофенолы, карбоновые к-ты, амины, амиды и т. п.):

6041-52.jpg

Присоединение эпихлоргидрина с раскрытием цикла и образованием 1,2-хлоргидрина происходит под действием оснований, к-т или солей; дегидрохлорирование промежут. 1,2-хлоргидрина протекает в присут. оснований и приводит к образованию глицидиловых концевых групп, дальнейшее взаимод. к-рых с соед., содержащими активный атом Н, дает эпоксидные смолы. Олигомеры с концевыми глицидиловыми группами обычно получают в избытке эпихлоргидрина.
В ходе синтеза эпоксидных смол протекает также ряд побочных р-ций: гидролиз и алкоголиз эпихлоргидрина и образующихся глицидиловых групп, полимеризация и изомеризация эпоксигрупп в карбонильные, аномальное раскрытие цикла эпихлоргидрина с образованием 1,3-хлоргидрина.

Наиб. распространены эпоксидные смолы на основе 2,2-ди(4-гидроксифенил)пропана (дифенилолпропана, диана, бисфенола А) -т. наз. диановые эпоксидные смолы общей ф-лы I.

6041-53.jpg

При синтезе низкомол. диановых смол (мол. м. 350-450) молярное соотношение дифенилолпропана и эпихлоргидрина 1:(8-10). Смесь в-в нагревают до кипения и постепенно (5-8 ч) добавляют к ней 40 %-ный водный р-р NaOH; непрореагировавший эпихлоргидрин и воду непрерывно отгоняют из зоны р-ции в виде азеотропной смеси. Эпоксидные смолы с мол. м. 500-1000 получают аналогичным способом, но при молярном соотношении 1:(1,5-1,9); процесс ведут в присут. р-рителей -ксилола, толуола либо их смесей с бутиловым спиртом или циклогексаноном. Эпоксидные смолы с мол. м. 1000-3500 синтезируют поликонденсацией низкомол. эпоксидных олигомеров с ди-фенилолпропаном в расплаве при 140-210 °С (катализаторы - третичные амины, мочевина, Na2СО3). Диановые эпоксидные смолы-вязкие жидкости или твердые хрупкие в-ва от светло-желтого до коричневого цвета; раств. в толуоле, ксилоле, ацетоне, метилэтилкетоне, метилизобутилкетоне и их смесях со спиртами, напр. бутиловым (табл.).
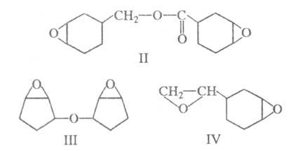
Эпоксидные смолы с эпоксидными группами в алифатич. циклах или цепях получают окислением (эпоксидированием) ненасыщенных соед. надкислотами (напр., надуксусной к-той). Практич. значение имеют диэпоксиды тетрагидробензилового эфира тетрагидробензойной к-ты (П), дициклопентенилового эфира (Ш), 4-винилциклогексена (IV), эпоксидированные олигомеры дивинила. Эти эпоксидные смолы- высоковязкие жидкости, р-римые в большинстве полярных р-рителей.

6041-54.jpg

Ярко выраженный полярный характер связи С — О в эпоксидном цикле в сочетании с его высокой напряженностью обусловливает способность эпоксидных смол раскрывать цикл под действием нуклеоф. и электроф. реагентов (отвердителей) с образованием твердых сетчатых полимеров. В качестве нуклеоф. отвердителей используют алифатич. и ароматич. первичные и вторичные ди- и полиамины, многоосновные к-ты и их ангидриды, многоатомные спирты, фенолы и их тиопроизвод-ные, а также полиамиды, феноло-формальдегидные смолы резольного и новолачного типа, третичные амины и их соли; в качестве электроф. отвердителей - к-ты Бренстеда и Льюиса, способные образовывать с эпоксидным циклом триалкилоксониевый ион. Процесс отверждения нуклеоф. агентами протекает по механизму р-ции поликонденсации или анионной полимеризации, электрофильными - только по механизму катионной полимеризации.
Для получения эпоксидных композиций пониженной вязкости используют т. наз. жидкие отвердители (аминоэфиры, жидкий изомер метилтетрагидрофталевого ангидрида) в сочетании с химически активными разбавителями, содержащими эпоксидные группы (напр., с глицидиловыми эфирами гликолей, алкилфенолов и разветвленных карбоновых к-т, эпоксидированными маслами и терпенами). Для увеличения вязкости в композиции вводят высокомол. соед. (напр., поливинилбутираль) или мелкодисперсные наполнители (напр., аэросил) в кол-ве 3-5%.
Различают низко- и высокотемпературные процессы отверждения эпоксидных смол. Процесс низкотемпературного ("холодного") отверждения (~ 20 °С) обычно проводят с использованием алифатич. полиаминов или продуктов их конденсации с фенолом, формальдегидом и многоосновными карбоновыми к-тами; глубина отверждения обычно не превышает 65-70%; система достигает полной конверсии лишь при послед, прогревании при 50-100 °С в течение 2-12 ч.
При высокотемпературном ("горячем") отверждении осн. отвердители - ароматич. полиамины (м-фенилендиамин, 4,4'-диаминодифенилметан, 4,4'-диаминодифенилсульфон), феноло- и мочевиноальдегидные смолы, ди- и поликарбоновые к-ты и их ангидриды [гл. обр. фталевый, метилтетрагидрофгалевый, гексагидрофталевый, малеиновый, эндометилентетрагидрофталевый (эндиковый) и их смеси]; в качестве катализаторов иногда используют малолетучие третичные амины и их соли. Проводят горячее отверждение при 100-300 °С в течение неск. секунд (в тонких слоях) или неск. часов.
Отвержденные эпоксидные смолы имеют микрогетерогенную структуру глобулярного типа, формирование к-рой наблюдается уже в жидкой фазе на начальных стадиях отверждения; размер частиц зависит от состава неотвержденной эпоксидной смолы и условий отверждения, уменьшаясь с возрастанием т-ры. Ниже приведены нек-рые св-ва отвержденных диановых эпоксидных смол:

Плотн. при 20 °С, г/см3 1,16-1,25
Т-ра стеклования, °С 60-180
Теплопроводность, Вт/(м х К) 0,17-0,19
Уд. теплоемкость, кДж/(кг х К) 0,8-1,2 Температурный коэф. линейного расширения, град-1 (45-65) х 10-6
Теплостойкость по Мартенсу, °С 55-170
Относит. удлинение, % 0,5-6
Диэлектрич. проницаемость (20 °С, 1 МГц) 3,5-5
Тангенс угла диэлектрич. потерь (20 °С, 1 МГц) 0,01-0,03
Уд. электрич. сопротивление (20 °С), Ом х см 1014-1016
Ударная вязкость, кДж/м2 5-25
Влагопроницаемость, г/см х ч х мм рт. ст. 2,1 х 10-10
Коэф. диффузии воды, см2/ч до 10-6

ХАРАКТЕРИСТИКА НЕКОТОРЫХ ДИАНОВЫХ ЭПОКСИДНЫХ СМОЛ

Мол. м.
Содержание эпоксидных групп, % по массе
Содержание гидроксильных групп, % по массе
Содержание полимер -гомологов разл. степени полимеризации, % по массе
Средняя функциональность по эпоксидным группам, fn
Агрегатное состояние и вязкость6041-55.jpg

Па x с

n = 0
п =1
n =2
n>3
350-400
21,5-24,8
0,1-0,8
85-92
8-15
2-3
. 0
1,95-2,0
Жидкость, 0,8-2
400-600
14,5-21,5
0,8-2,5
50-85
15-20
8-10
5-10
1,90-1,95
Вязкая жидкость, 20-60 (40 °С)
600-800
10-14,5
2,5-4,6
20-50
12-16
8-11
45-50
1,85-1,9
Высоковязкая жидкость, 2 (100 °C)
800-1000
8-10
4,6-5,1
18-20
12-14
9-12
55-60
1,8-1,85
Твердое в-во, т. размягч. 50-55 °С
1000-1400
6-8
5,1-6,0
8-18
7-9
8-10
70-75
1,7-1,8
Твердое в-во, т. размягч. 55-70 °С
1400-1800
4-6
6,0-6,5
4-6
6-8
8-10
80-85
1,6-1,7
Твердое в-во, т. размягч. 70-85 °С
1800-3500
2-4
6,5-6,8
2-4
3-5
5-8
83-90
1,4-1,6
Твердое в-во, т. размягч. 85-100 °С

По прочностным показателям продукты отверждения эпоксидных смол превосходят применяемые в пром-сти материалы на основе др. синтетич. смол. Так, прочность при растяжении может достигать 140 МПа, при сжатии - 40 МПа, при изгибе -220 МПа; модуль упругости ~ 50 ГПа.
В композиции на основе эпоксидных смол перед отверждением обычно вводят пластификаторы, не содержащие реакционноспособных групп, и разл. наполнители - порошки, высокопрочные и высокомодульные сплошные и рубленые волокна из ткани, стекловолокна и др. материалов (см. Композиционные материалы).
Композиции холодного отверждения используют в качестве клеев, герметиков, заливочных компаундов, эпоксидных лаков, эмалей и др. защитных покрытий в случаях, когда по условиям эксплуатации нежелателен нагрев. Композиции горячего отверждения применяют в качестве связующих для высокопрочных армированных пластиков, композиционных высокотемпературных материалов, дорожных покрытий, клеев, электроизоляционных и нек-рых лакокрасочных материалов.
Мировое произ-во эпоксидных смол превышает 1 млн. т в год.

Лит.: Ли Г., Невилл К, Справочное руководство по эпоксидным смолам, пер. с англ., М., 1973; Розенберг Б. А., "Ж. Всес. хим. об-ва им. Д. И. Менделеева", 1989, т. 34, № 5, с. 453-59; Ероху resins: chemistry and technology, ed. by C. A. May, 2 ed., N. Y.- Basel, 1988.

М. А. Маркевич, Б. А. Розенберг.

Синонимы/примеры:* Эпоксидно-диановые смолы; ЭД смолы; Бисфенол А диглицидиловый эфир; ДГЭБА
*подобраны ИИ, возможны неточности