Алкидные смолы

АЛКИДНЫЕ СМОЛЫ, продукты взаимод. многоосновных карбоновых к-т, многоатомных спиртов (полиолов) и одноосновных высших жирных к-т. Многоосновные к-ты используют для синтеза алкидных смол обычно в виде ангидридов, высшие жирные к-ты-в виде индивидуальных соед. или в составе растит, масел (полных сложных эфиров этих к-т и глицерина-триглицеридов). Наиб. распространенные алкидные смолы получают из фталевого ангидрида и глицерина (глифталевые смолы), пентаэритрита (пентафталевые смолы) или триметилолпропана, наз. также этриолом (этрифталевые смолы). Алкидные смолы, в состав к-рых входят остатки к-т высыхающих или полувысыхающих масел (напр., льняного, тунгового, подсолнечного), наз. высыхающими; алкидные смолы, содержащие остатки к-т невысыхающих масел (напр., касторового), относят к невысыхающим. По кол-ву остатков к-т (жирности) алкидные смолы подразделяют на сверхтощие (< 35%), тощие (35-45%), средние (46-55%), жирные (56-70%) и очень жирные (> 70%).

Алкидные смолы-высоковязкие липкие продукты от светло-желтого до коричневого цвета; мол. м. 1500-5000. Тощие смолы раств. лишь в ароматич. углеводородах (толуоле, ксилоле, сольвенте), жирные-в алифатических (налр., уайт-спирите), смолы средней жирности-в смесях ароматич. и алифатич. углеводородов.

Применяют алкидные смолы в кач-ве пленкообразователей лакокрасочных материалов. Высыхающие смолы образуют покрытия в результате окислит.-полимеризац. процессов с участием ненасыщ. связей жирных к-т, невысыхающие - в результате улетучивания р-рителя или(и) поликонденсации, в к-рой участвуют функц. группы смолы и введенного в материал отвердителя.

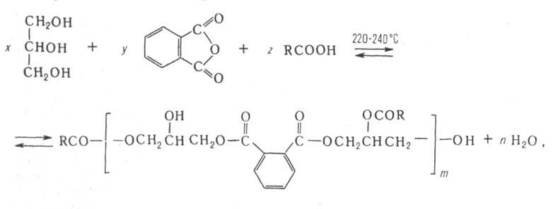
Получение. Осн. р-ция при получении алкидных смол-конденсац. теломеризация (полиэтерификация), в к-рой высшая жирная к-та служит телогеном, напр.:
1016-1.jpg

где R-алкил или алкенил, m1016-2.jpg2.

В пром-сти применяют два метода синтеза - жирнокислотный и алкоголизный. В первом случае исходят из своб. жирной к-ты, во втором из растит. масла, к-рое сначала подвергают алкоголизу полиолом, а затем образовавшиеся неполные эфиры вводят в р-цию с фталевым ангидридом. При синтезе алкидных смол на основе касторового масла (т. наз. резиловых смол) алкоголиз масла не требуется, т.к. в по-лиэтерификацию с ангидридом вступают группы ОН остатков рицинолевой к-ты.

Катализаторы алкоголиза-РbО, CaO, Na2CO3 и др., полиэтерификации - кислоты-реагенты; иногда дополнительно используют также минер. к-ты или их соли и др. Р-ция ускоряется и в присут. 1-2% малеинового ангидрида, к-рый образует аддукты Дильса - Альдера с жирными к-тами, содержащими сопряженные двойные связи, или присоединяется по метиленовым группам к-т с изолир. двойными связями. В последнем случае образуются трехосновные алкенилянтарные к-ты, повышающие среднюю функциональность системы, что ускоряет рост вязкости реакц. массы. Кроме того, малеиновый ангитрид, взаимодействуя с хромофорными группами масел и разрушая систему сопряжения в них, способствует получению более светлых алкидных смол

Алкидные смолы синтезируют в условиях, обеспечивающих получение продукта с кислотным числом в пределах 10-20, т.к. из-за присутствия в смоле большого числа свободных групп СООН может повышаться вязкость при хранении лакокрасочных материалов, содержащих пигменты осн. характера. Образование смолы с низким кислотным числом достигается введением в исходную реакц. смесь избытка полиола.

Синтезируют алкидные смолы в осн. по периодич. схеме в реакторах с высокотемпературным обогревом. Распространены также полунепрерывные схемы с применением реакторов большой единичной мощности (32 м3 и более). Фталевый ангидрид применяют в виде гранул или расплава; в последнем случае м.б. автоматизирована его загрузка и снижена общая продолжительность процесса.

В произ-ве алкидных смол жирнокислотным методом все компоненты загружают одновременно; т-ра полиэтерификации 210-250°С. Достоинства метода: одностадийность; возможность получения пентафталевых смол, не содержащих остатков глицерина; однородность алкидных смол и их светлая окраска, обусловленные сравнительно невысокими т-рами синтеза; высокая стабильность процесса. Недостаток: необходимость предварит. расщепления растит. масел, что сопровождается их потерями и требует применения спец. коррозионностойкой аппаратуры. В отечеств. пром-сти значительно шире применяют алкоголизный метод. Триглицерид реагирует с полиолом в расплаве при 240-260°С до образования продукта, р-римого в этаноле. Недостатки метода: двустадийность; плохая воспроизводимость, связанная с побочными р-циями при алкоголизе и с потерями полиола на этой стадии; присутствие в пента- и глифталевых смолах остатков глицерина.

Для удаления воды, образующейся при полиэтерификации, используют блочный или азеотропный способ. В первом случае в реакторе создают небольшой вакуум и барботируют через реакц. массу N2 или СО2, во втором - вводят в реактор ксилол (2-3% от реакц. массы), образующий с водой азеотропную смесь, к-рую отгоняют, охлаждают и разделяют: ксилол с растворенными в нем орг. в-вами возвращают в реактор, а загрязненную воду удаляют. Преимущества азеотропного способа: меньшее кол-во сточных вод, значительно меньшие потери фталевого ангидрида, возможность получения более светлых алкидных смол. Однако повыш. пожароопасность, более дорогое аппаратурное оформление и трудность регулирования работы азеотропной системы обусловливают широкое использование блочного способа. Р-ры алкидных смол (алкидные лаки) получают в смесителях, куда смола поступает из реактора самотеком под слой предварительно налитого р-рителя. Лаки центрифугируют, фильтруют и иногда подвергают отстаиванию.

Способы модифицирования. Для этой цели применяют: 1) введение разл. сомономеров при синтезе смолы; 2) взаимод. готовых смол с модифицирующими в-вами; 3) смешение смол с др. пленкообразователями (см. табл.). На стадии синтеза смол до 30% жирных к-т заменяют бензойной к-той, к-тами канифоли, нафтеновыми к-тами и др. или вместо части фталевого ангидрида применяют диизоцианаты либо алкоксисилоксаны (синтез соотв. алкидно-уретановых, или уралкидных, и алкидно-силоксановых смол с участием групп ОН продукта алкоголиза или образующейся смолы). Готовые алкидные смолы (гл. обр. на основе тунгового или дегидратированного касторового масла) сополимеризуют по двойным связям жирных к-т с метакрилатами или стиролом в р-ре в присут. радикальных инициаторов. Возможна также прививка стирола по двойным связям введенного в состав смолы малеинового ангидрида.