Кислотное число

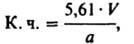
КИСЛОТНОЕ ЧИСЛО, масса КОН (в мг), необходимая для нейтрализации 1 г орг. в-ва. Характеризует содержание в в-ве своб. к-т. Равно разности между числом омыления и эфирным числом. Определяют по ф-ле:
381_400-22.jpg
где V-объем (в мл) 0,1 н спиртового р-ра КОН, пошедшего на титрование, о-навеска в-ва (в г). При определении кислотного числа восков и смол в качестве р-рителя используют смесь ксилола (бензола) и абс. спирта. На основании кислотного числа может быть определена мол. масса к-ты или средняя мол. масса смеси к-т по ф-ле М = 56104: кислотное число. Применяют кислотное число при анализе жиров, восков, эфирных масел и др. Для алкидных смол, напр., кислотное число составляет 20-100, для пчелиного воска-62-70, для растит. масла-1-10. С.И.Обтемперанская.

Комментарии*

Дополнения к описанию кислотного числа:

  • Механизм определения: Включает титрование свободных кислот в органическом веществе стандартным раствором щёлочи (обычно спиртовым раствором КОН) в присутствии индикатора (например, фенолфталеина).
  • Значимость в нефтехимии: Широко применяется для контроля качества смазочных масел и топлив, так как повышение кислотного числа указывает на окисление и degradation продукта.
  • Важность в полимерной химии: Используется для мониторинга процесса синтеза алкидных смол (контроль степени этерификации) и оценки их пригодности для дальнейшего применения.
  • Дополнительные примеры значений: Для минеральных масел кислотное число обычно менее 0,1 мг КОН/г, для олиф — до 10-15 мг КОН/г.
*Подобраны с помощью LLM, верифицированы, но возможны неточности.