Эпоксидное число

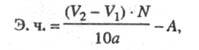
ЭПОКСИДНОЕ ЧИСЛО, количество к-ты HHal (в молях), необходимое для гидрогалогенирования6041-48.jpg-эпоксидных групп, содержащихся в 100 г орг. в-ва. Характеризует содержание a-эпоксидных групп (этиленоксидных, пропиленоксидных или глицидиловых). Определение эпоксидных групп основано на их способности присоединять галогеноводороды при комнатной т-ре с образованием галогенгидринов. При определении эпоксидного числа предварительно устанавливают кислотность образца А, т. е. кол-во свободных к-т в 100 г в-ва (в молях). Гидрогалогенирование осуществляют р-ром НС1 в среде абс. диэтилового эфира, ацетона, диоксана или пиридина. Избыток НС1 оттитровывают р-ром NaOH в присут. фенолфталеина. Эпоксидное число рассчитывают по ф-ле:

6041-49.jpg

где V2 и V1 - объемы (в мл) р-ра NaOH, пошедшие на титрование соотв. в холостом опыте и в опыте с пробой; N -нормальность р-ра NaOH; а - навеска образца (в г); А -кислотность образца (в молях).
Для представления результатов в % полученное значение умножают на эпоксидный эквивалент, равный 43 для этиленоксидной и 57 для пропиленоксидной группы. Эпоксидное число может также выражаться кол-вом кислорода, содержащегося в эпоксидном кольце.
При определении эпоксидного числа по р-ции с НВr навеску образца титруют в соответствующем р-рителе уксуснокислым р-ром НВr с присут. кристаллического фиолетового. Известны также методы определения эпоксидного числа, основанные на взаимод. эпоксидных групп с сульфитами и тиосульфатами; хлорной к-той в присут. избытка растворимого бромида или хлорида четвертичного аммония, а также с помощью ИК спектроскопии.
Эпоксидное число характеризует активность эпоксидной смолы при отверждении аминами. Его определяют как в исходных продуктах, так и в неотвержденных и отвержденных эпоксидных смолах, а также в готовых лакокрасочных материалах и покрытиях. Эпоксидное число в эпоксидных смолах варьирует от 0,02 до 0,5.

Н.К.Куцева.

Синонимы/примеры:* Эпоксидный эквивалент; Оксетан
*подобраны ИИ, возможны неточности