Оксиэтилированные алкиламины
ОКСИЭТИЛИРОВАННЫЕ АЛКИЛАМИНЫ (полиокси-этиленалкиламины), техн. назв. соед. общей ф-лы H(C2H4O)nN(R)(C2H4O)mH, где R-алкил С7 и выше, п + т
2. Неионогенные ПАВ; при рН
6 проявляют катионактивные св-ва; устойчивы в кислых и щелочных р-рах. Р-римость в воде зависит от величины радикала R и кол-ва оксиэтильных групп; при п + т
(6-10) раств. в воде, ацетоне, хлороформе, этаноле.
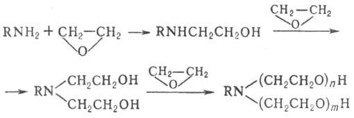
Оксиэтилированные алкиламины получают обычно действием этиленоксида на первичные алифатич. амины в присут. сильноосновных катализаторов (Na, NaOH, КОН) при 130-160 °С и 0,19-0,68 МПа; р-ция протекает по схеме:

Иногда р-цию проводят в присут. воды при 90-100°С; кат. в этом случае - четвертичные основания, образующиеся при взаимод. аминоспирта с этиленоксидом.
При R = mpem-Alk у атома азота замещается только один атом водорода:

Взаимод. этиленоксида с неразветвленными вторичными алкиламинами приводит к образованию значит. кол-ва побочных продуктов - полиэтиленгликолей.
Для оксиэтилированных алкиламинов характерно интенсивное темно-коричневое окрашивание; уменьшение окраски достигается введением в реакц. массу восстановителей (гидразингидрата, гидрокси-ламина или их солей). Синтез индивидуальных полиокси-этиленовых производных аминов осуществляют взаимод. амина с хлоргидринами индивидуальных полиоксиэтилен-гликолей:

Определяют оксиэтилированные алкиламины методами адсорбционной, тонкослойной, колоночной хроматографии и потенциометрич. титрованием.
В пром-сти наиб. применение находит амиприн-ДТ-18- в общей ф-ле R = С10-С13, п + т =18; вязкая жидкость желтого цвета; хорошо раств. в воде, этаноле, 7%-ном водном р-ре NaOH; содержит ок. 100% основного в-ва.
Оксиэтилированные алкиламины проникают через неповрежденную кожу, раздражают слизистые оболочки глаз; ЛД50 1,5-2,5 г/кг (мыши, пер-орально); ПДК (в воде) 5-10 мг/л; биологически слаборазлагаемы.
Оксиэтилированные алкиламины - модификаторы в произ-ве вискозы и высокомодульных волокон на основе целлюлозы; выравниватели при крашении; смачиватели, эмульгаторы и диспергаторы пестицидов; ингибиторы коррозии; антистатики для пластмасс и смол.
Лит.: Поверхностно-активные вещества. Справочник, под ред. А. А. Абрам-зона, В. В. Бочарова и Г. М. Гаевой, Л., 1979; Шенфельд Н., Поверхностно-активные вещества на основе оксида этилена, пер. с нем., М., 1982.
Ж. А. Бедина.