Гликозилдиглицериды

ГЛИКОЗИЛДИГЛИЦЕРИДЫ (1,2-диацил-3-гликозил-sn-глицерины, 3-гликозиды 1,2-диацил-sn-глицерины), соед. общей ф-лы ROCH2CH(OR')CH2OX, где R и R'-остатки высших жирных к-т, Х-остаток моно-, ди-, три- или тетрасахарида.

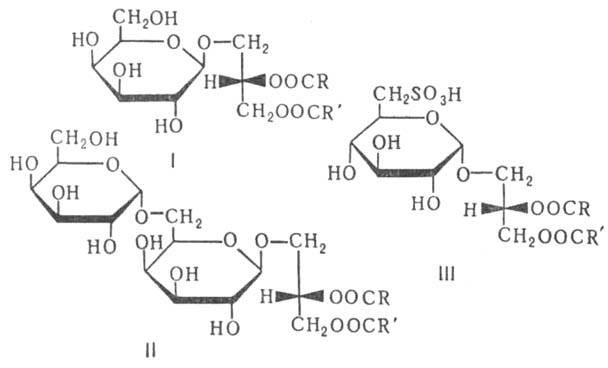
Гликозилдиглицериды встречаются в микроорганизмах, высших растениях и нервных тканях млекопитающих. Зеленые растения содержат гл. обр. 3-О-(1113-57.jpg-D-галактопиранозил)диацил-sn-глицерины и 3-О-[6-О-(1113-58.jpg-D-галактопиранозил)-1113-59.jpg-D-галактопиранозил]диацил-sn-глицерины (соотв. ф-ла I и II), на долю к-рых приходится до 40% суммарных липидов ламелл хлоропластов (в ламеллах находится до 80% гликозилдиглицеридов растит. клетки). В незначит. кол-ве I присутствует в спинном мозге млекопитающих. В ламеллах высших растений и в фотосинтезирующих микроорганизмах содержится 3-О-(6-сульфо-6-дезокси-1113-60.jpg-D)-глюкопиранозил)-1,2-диацил-sn-глицерин (III). Грамположит. бактерии содержат гликозилдиглицериды определенного строения. Обычно их углеводная часть состоит из остатков глюкозы, галактозы и маннозы (наиб. распространены дигликозилдиглицериды). Грамотрицат. бактерии и актиномицеты синтезируют гликозилдиглицериды, содержащие уроновые к-ты.
1114-1.jpg

Синтетич. гликозилдиглицериды-кристаллич. в-ва, природные - вязкие жидкости, воскообразные или твердые аморфные соединения. Все гликозилдиглицериды хорошо раств. в смесях хлороформа с метанолом (2:1 или 1 :1), тетрагликозилдиглицериды образуют гидрозоли. Моно- и дигликозилдиглицериды могут образовывать липосомы. Гликозилдиглицериды участвуют в фотосинтезе, в частности обеспечивают оптим. пространств. ориентацию молекул хлорофилла. Бактериальные гликозилдиглицериды служат биогенетич. предшественниками липотейхоевых к-т, в к-рых они составляют липидную часть.

Биосинтез моногликозилдиглицеридов осуществляется из диглицерида и уридиндифосфатгексозы (УДФ-гексозы). Дальнейшее наращивание углеводной цепи происходит в результате конденсации со след. молекулой УДФ-гексозы. I и II обычно выделяют из листьев шпината, люцерны или из пшеничной муки, III-из люцерны и клевера, др. гликозилдиглицериды-из бактерий. Индивидуальные моно- и дигликозилдиглицериды с заданным жирнокислотным составом получают полусинтетич. методом - переацилированием прир. гликозилдиглицеридов или полным синтезом, основанным на конденсации ацетобромсахаров с разл. производными глицерина или на конденсации последних с ацетилированными ортоэфирами Сахаров.

Для проведения количеств. анализа гликозилдиглицеридов их предварительно деацилируют путем щелочного гидролиза, а образовавшиеся гликозилглицерины в виде пер-О-метильных или триметилсилильных производных определяют с помощью ГЖХ.

Литература

Швец В. И.. "Успехи биологической химии", 1974, т. 15, с. 166-94; Shaw N.. "Bacteriological Reviews", 1970, v. 34, № 4, p. 365-77; Van Hummel H. C, "Fortschritte der Chemic organischer Naturstoffe", 1975, Bd 32, S. 267 95. С. Г. Батраков.