Целлюлазы

ЦЕЛЛЮЛАЗЫ (целлюлолитич. ферменты), ферменты класса гидролаз, катализирующие гидролиз 1,4-гликозидных связей в молекуле целлюлозы с образованием набора олигосахаридов разл. степени полимеризации вплоть до мономера -глюкозы.
Различают два осн. типа целлюлаз: эндоглюканазы (1,4-6015-1.jpgглюкан-4-глюканогидролазы, эндо-1,4-6015-2.jpgглюканазы) и целлобиогидролазы (1,4-6015-3.jpg-D-глюкан-4-целлобиогидролазы, экзоцеллобиогидролазы), отличающиеся по характеру действия на молекулы целлюлозы и, как правило, действующие совместно.
Целлюлазы первого типа гидролизуют связи в молекуле целлюлозы и нек-рых ее растворимых производных (карбоксиметил-, гидроксиэтилцеллюлоза и др.) неупорядоченным способом, образуя набор поли- и олигомерных фрагментов разл. длины. Катализируют также р-цию трансгликозилирования (присоединение части расщепляемой молекулы поли- или олигосахарида к концевому невосстанавливающему ангидроглюкозному остатку др. поли- или олигомерной молекулы субстрата).
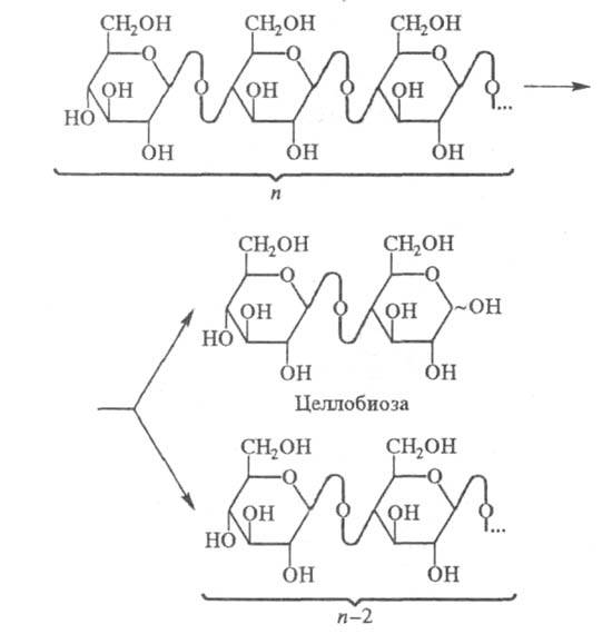
Целлюлазы второго типа гидролизуют молекулы целлюлозы, образуя почти исключительно целлобиозу, к-рую они отщепляют с невосстанавливающего конца полисахарида (п - число звеньев цепи):

6015-4.jpg

Другое отличие целлюлаз второго типа от эндоглюканаз - незначит. снижение ими вязкости р-ров карбоксиметил- или гидроксиэтилцеллюлозы (при равной степени гидролиза полимера).
Характерное св-во двух типов целлюлаз - наличие синергизма (взаимного усиления) при их совместном действии на высокоупорядоченные формы целлюлозы (хлопковое волокно, микрокристаллич. целлюлоза).
Целлюлазы обнаружены у бактерий, актиномицетов, грибов, растений. Наличие целлюлаз у животных однозначно не доказано, однако мн. насекомые, птицы, жвачные, грызуны содержат в пищеварит. органах микрофлору, образующую целлюлазы. Способность жвачных животных переваривать клетчатку обусловлена присутствием в их желудке (гл. обр. в рубце) симбиотич. анаэробных микроорганизмов, выделяющих целлюлазы.
Наиб. эффективные продуценты целлюлаз - грибы. Ферментные системы грибов содержат, как правило, множественные формы обеих форм целлюлаз, отличающиеся мол. массой, изоэлектрич. точкой и содержанием ковалентно связанных углеводных остатков. Часть целлюлаз - истинные изоферменты, кодируемые самостоят. генами, др. формы образуются при посттрансляционной модификации основных типов целлюлаз.
Наиб. изученным продуцентом целлюлаз, имеющим важное прикладное значение, является почвенный грибок Trichoderma viride (reesei). Он секретирует по меньшей мере 2 изофермента целлобиогидролазы с мол. м. 65 и 55 тыс., рI 3,9-4,2 и 5,9-6,5 соотв., а также 2 изофермента эндоглюканазы с рI 4,7 и 5,4. Определена первичная структура всех этих ферментов. Оптимальное каталитич. действие целлюлаз большинства грибов проявляется при рН 4-5.
Среди анаэробных бактерий наиб. известный продуцент целлюлаз - Clostridium thennocellum. Структура целлюлаз этих бактерий существенно отличается от целлюлаз грибов. Этот микроорганизм секретирует крупные надмол. образования, в составе к-рых обнаруживается не менее 14 разл. белков, в т. ч. молекулы целлюлазы, - т. наз. целлюлосомы (общая мол. м. более 2 млн.). Сходные образования обнаруживаются и у нек-рых др. анаэробных бактерий, в т. ч. находящихся в желудке жвачных животных.
В составе целлюлосом обнаружены по крайней мере 4 изофермента целлюлаз первого типа и 1 - второго. Для всех эндоглюканаз целлюлосомы определена первичная структура, а для одной из них - также пространственная. Оптимальная каталитич. активность бактериальных ферментов при рН ок. 7.
Наиб. известный ингибитор целлюлаз, в особенности для целлюлаз второго типа,- целлобиоза.
В первичную структуру многих целлюлаз входит т. наз. сорбционный домен - фрагмент полипептидной цепи, определяющий связывание молекулы фермента с поверхностью целлюлозы. У разл. целлюлаз он локализован на С- или на N-конце молекулы и связан переходной областью с каталитич. доменом. Последний, при протеолитич. отщеплении сорбционного домена, способен катализировать гидролиз производных целлюлозы в р-ре, но не активен по отношению к нерастворимым субстратам.
Целлюлазы применяют в произ-ве соков и вин (для их осветления), комбикормов (для их лучшего усвоения), а также для получения высококачественной бумаги.
Мировое произ-во целлюлаз составляет тысячи тонн (в числе осн. производителей - Япония, Дания, Финляндия, Россия).

Лит.: Рабинович М. Л. [и др.], в сб.: Итоги науки и техники, сер. Биотехнологи, т. 11, М., 1988, с. 4-149; Biochemistry and genetics of cellulose degradation, eds. J. P. Aubert, P. Beguin, J. Millet, L., 1988.

М. Л. Рабинович.

Синонимы/примеры:* Целлюлаза; Эндо-1,4-β-глюканаза; 1,4-(1,3:1,4)-β-D-глюкан 4-глюканогидролаза
*подобраны ИИ, возможны неточности