Целлобиоза (целлоза), генциобиоза
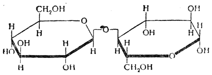
Целлобиоза (целлоза) является 4-(β-глюкозидо)-глюкозой. Она построена так же, как и мальтоза, но тогда как мальтоза является α-гликозидом, целлобиоза представляет собой β-гликозид

Целлобиоза является промежуточным продуктом при ферментативном гидролизе целлюлозы, так же как мальтоза — при гидролизе крахмала. Кристаллическая целлобиоза представляет собой β-изомер с т. пл. 225° С; растворы ее обладают мутаротацией, причем [α]D20 меняется в пределах от +14,2 до +34,6°.
При действии извести целлобиоза вследствие эпимеризации превращается в дисахарид 4-(β-глюкозидо)-маннозу (С. Н. Данилов).
Впервые целлобиоза была получена при нагревании целлюлозы со смесью серной кислоты и уксусного ангидрида в виде октаацетата, который при омылении спиртовым раствором КОН давал свободную целлобиозу. Впоследствии она была синтезирована как химическим путем, так и биохимически при действии на концентрированные растворы глюкозы энзима эмульсина в присутствии гликоля.
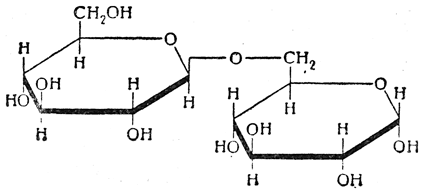
Генциобиоза, 6-(β-глюкозидо)-глюкоза, получающаяся при гидролизе гликозида амигдалина, а также трисахарида генцианозы, имеет строение:

Генциобиоза получается также при продолжительном действии эмульсина на разбавленные растворы глюкозы.
Генциобиоза, кристаллизующаяся с двумя молекулами метилового спирта и представляющая собой α-изомер, плавится при 85—86°С; растворы ее мутаротируют: [α]D20=+21,4→+ 8,7°; β-изомер (свободный от растворителя) плавится при 190—195° С.