Альдолазы

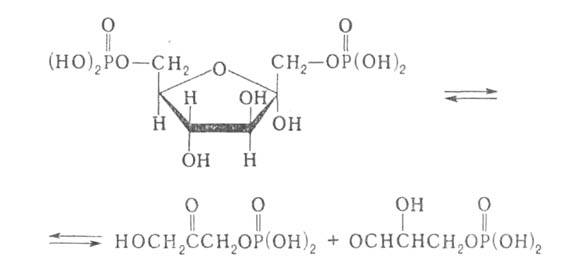
АЛЬДОЛАЗЫ, ферменты класса лиаз, катализирующие альдольную конденсацию и обратную ей р-цию. Молекулы альдолаз класса I состоят из 4 субъединиц одинаковой мол. массы (по 30-40 тыс.). Проявляют оптим. каталитич. активность при рН 7,0-9,0, инактивируются NaBH4. Для альдолаз из ряда источников определена первичная структура. наиб. изученный и распространенный представитель -фруктозо-бисфосфат-альдолаза, к-рая при гликолизе катализирует расщепление по одинаковой схеме фруктозе- 1,6-дифосфата и фруктозо-1-фосфата, напр.:
1021-5.jpg

В обратной р-ции фермент обладает абс. специфичностью только в отношении дигидроксиацетонфосфата, тогда как глицеральдегид-3-фосфат м. б. заменен другим соед. сходной структуры. На промежуточной стадии субстрат образует шиффово основание с1021-6.jpgаминогруппой лизина, находящегося в активном центре. Альдолазы теряют активность при модификации не менее 11 остатков цистеина из 32.

Альдолазы класса I содержатся в тканях животных, у высших растений, а также у нек-рых видов бактерий (напр., Pertococcus aerogenes). Ткани млекопитающих содержат три изофермента фруктозобисфосфат-альдолазы (отличаются строением молекулы), характерных для скелетных мышц, печени или мозга. При злокачеств. перерождении печени в ней происходит замена своего изофермента на другой, что используется для диагностич. целей.

Молекулы альдолаз класса II состоят из двух субъединиц общей мол. м. 65-80 тыс. Для них характерна узкая область рН, в к-рой они проявляют оптим. каталитич. активность; оптимальный рН существенно зависит от того, из какого организма выделен фермент. Для проявления каталитич. св-в необходимо присутствие ионов Zn2+ , Са2+ и Fe2+ . Ионы К+ активируют, а этилендиаминтетрауксусная к-та ингибирует эти ферменты. Альдолазы класса II не катализируют расщепление фруктозо-1-фосфата. Содержатся в дрожжах, грибах, бактериях и водорослях.

При недостатке в организме определенных типов альдолаз развивается наследств. заболевание-непереносимость фруктозы.

Литература

Rutter W.Y. [а.о.], в кн.: Methods in enzymology, v. 9, N. Y.-L., 1966, p. 479-98; Morse D.E., H orecker B. L., в кн.: Advances in enzymology and related areas of molecular biology, v. 31, N.Y.-[a.o.], 1968, p. 125-81; Horecker B.L., Tsolas O., Lai C. Y., в кн.: The enzymes, 3 ed., v. 7, N.Y., 1972, p. 213-58. В.И. Муронец.

Синонимы/примеры:* Фруктозо-1,6-бисфосфат-альдолаза; Фруктозобисфосфат-альдолаза
*подобраны ИИ, возможны неточности