О-Гликозид-гидролазы

О-ГЛИКОЗИД-ГИДРОЛАЗЫ (гликозидазы, карбогидразы), ферменты класса гидролаз, катализирующие гидролиз О-гликозидных связей в гликозидах, олиго- и полисахаридах, гликолипидах, гликопротеинах и др. гликоконъюгатах. О-Гликозид-гидролазы катализируют также обратные р-ции. Эти ферменты абсолютно специфичны к конфигурации как расщепляемой, так и синтезируемой гликозидной связи. Нек-рые типы О-гликозид-гидролаз катализируют перенос остатка углевода от гликозида, олиго- или полисахарида к соед., содержащему группу ОН (трансгликозилирование).

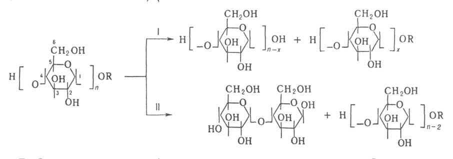
По механизму действия различают след. осн. типы О-гликозид-гидролаз: гликозидазы, или экзогликозидазы; эндогликаназы, или эндополисахаридазы; экзогликаназы, или экзополисахаридазы. Первые отщепляют от олигомерных субстратов концевые невосстанавливающие остатки моносахаридов. Для нек-рых из них доказан механизм, включающий промежут. образование соединения, в к-ром фермент и остаток углевода соединены ковалентной связью. Эндогликаназы (напр., лизоиим,1113-35.jpg-амилаза)расщепляют в полисахаридах гликозидную связь, удаленную от невосстанавливающего или восстанавливающего концов молекулы. Как гликозидазы, так и эндогликаназы расщепляют гликозидную связь с сохранением конфигурации аномерного атома углерода (C1 в циклич. форме моносахарида) и обладают трансгликозилирующей активностью. Экзогликаиазы (напр.,1113-36.jpg-амилаза) отщепляют от невосстанавливающего конца полисахарида моно- или олигосахаридные остатки с обращением их аномерной конфигурации и не обладают трансгликозилирующей активностью. Известны также эндогликозидазы, катализирующие отщепление олигосахаридных остатков от углеводных цепей гликопротеинов. Ниже представлен пример расщепления углевода под действием1113-37.jpg и1113-38.jpgамилаз (соотв. I и И):
Расщепления углевода под действием амилаз

О-Гликозид-гидролазы обнаружены в вирусах и фагах, микроорганизмах, грибах, растениях, в клетках и тканях животных. Их главная ф-ция - участие в катаболизме сложных углеводов; они играют также важную роль в их биосинтезе (напр., крахмала, углеводных цепей гликопротеинов). Липидозы и др. болезни накопления обусловлены наследств. недостатком определенных О-гликозид-гидролаз.

Используют О-гликозид-гидролазы как реагенты в исследованиях сложных углеводов, как лек. ср-ва (напр., гиалуронидаза - для размягчения рубцов), в кач-ве бактерицидного ср-ва при консервировании продуктов питания (лизоцим), при облагораживании продуктов питания (напр., пектиназы), при "осахаривании" крахмала (амилазы). Представляет практич. интерес проблема переработки отходов пром-сти и с. х-ва, содержащих целлюлозу, в глюкозу с помощью ферментов целлюлазного комплекса, относящихся к О-гликозид-гидролазам.

Литература

Исп. литература: Хорлин А. Я., в кн.: Структура и функции активных центров ферментов, М., 1974, с. 39-69; Видершайн Г.Я., Биохимические основы гликозидозов, М., 198(Х А. Я. Хорлин.