Чичибабина реакция

ЧИЧИБАБИНА РЕАКЦИЯ, аминирование пиридина и подобных ароматич. азагетероциклов (хинолин, изохинолин, бензимидазол и т. п.) амидом натрия; в случае пиридина при этом образуется 2-аминопиридин с незначит. примесью 4-аминопиридина (при повышенной т-ре и избытке NaNH2 возможно получение 2,6-диаминопиридина):

6025-45.jpg

Известно два способа проведения Чичибабина реакции: в апротонных р-рителях (толуол, ксилол, n-цимол, вазелиновое масло и др.) и в жидком NH3. В первом случае р-ция протекает в гетерогенной среде, в связи с чем требуется высокая т-ра (обычно выше 100 °С). В жидком NH3 процесс проходит в гомогенных условиях и при низкой т-ре (ниже -33 °С); вместо NaNH2 в этом случае предпочтительнее использовать KNH2, к-рый в жидком NH3 раств. значительно лучше. Выходы р-ции составляют 30-90%.
Формально Чичибабина реакция - нуклеоф. замещение гидрид-иона на6025-46.jpg поэтому для ее протекания необходимо, чтобы в молекуле субстрата содержался высоко электронодефицитный кольцевой атом С, к-рый и атакует амид-ион. На первой стадии образуется анионный6025-47.jpg-комплекс (ф-ла I), к-рый далее ароматизуется с образованием Na-соли амина (II); свободный амин выделяется при прибавлении в реакц. смесь воды или NH4C1. При высокотемпературном способе проведения р-ции гидрид-ион отщепляется от6025-48.jpg-комплекса самопроизвольно в виде Н2 (второй атом Н поступает в молекулу Н2 в виде протона из аминогруппы). По объему выделившегося Н2 удобно контролировать ход аминирования. Однако при проведении р-ции в жидком NH3 гидрид-ион самопроизвольно отщепиться не может. В этом случае для ароматизации6025-49.jpg -комплекса необходимо добавлять в реакц. смесь окислитель (обычно КМпО4). Напр., окислит. аминирование сим-тетразина дает 3-аминотетразин с высоким выходом. Окислит. аминирование незаменимо для тех азинов и азолов, к-рые разрушаются NaNH2 при высокой т-ре.
Чичибабина реакция впервые описана А. Е. Чичибабиным и О. А. Зейде в 1914. Позднее были предложены ее модификации - алкиламинирование гетероциклов с помощью натрийалкиламидов, гидразинирование гидразидом натрия, гидроксилирование нагреванием с безводной порошкообразной щелочью, известны примеры внутримол. алкиламинирования по Чичибабину.
Чичибабиным были открыты еще две р-ции, к-рые иногда также наз. его именем: 1) синтез производных индолизина действием6025-50.jpg-галогенкарбонильных соед. на 2-алкилпиридины (р-ция пригодна также для аннелирования пиррольного кольца и к др.6025-51.jpg-алкилазинам и азолам):

6025-52.jpg

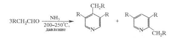
2) Синтез производных пиридина путем термич. циклоконденсации альдегидов с аммиаком:

6025-53.jpg

Лит.: Пожарский А. Ф., Симонов A.M., Аминирование гетероциклов по Чичибабину, Ростов н/Д., 1971; Пожарский А. Ф. [и др.], "Успехи химии", 1978, т. 47, в. 11, с. 1933-65; Плас X. ван дер, "Химия гетероциклических соединений", 1987, № 8, с. 1011-27; Mc Gill С. К., Rарра А., в сб.: Advances in heterocyclic chemistry, ed. by A. R. Katritzky, v. 44, N. Y., 1988, p. 1-79. А. Ф. Пожарский.