Аннелирование

АННЕЛИРОВАНИЕ (от лат. annellus, anellus - колечко) (аннулизация), пристраивание карбо- или гетероцикла к существующей циклич. системе. наиб. распространено аннелирование по Робинсону, напр.:
1032-1.jpg

При склонности исходного винилкетона к полимеризации используют иодметилат соответствующего основания Манниха (р-ция Робинсона - Манниха), напр.:
1032-2.jpg

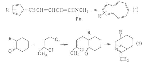
Др. примеры аннелирования - р-ции Хафнера (ур-ние 1) и Вихтерле (2):
1032-3.jpg

См. также Пшорра синтез, Элъбса реакция.

Аннелирование широко используют в синтезе стероидов, терпеноидов, полициклич. красителей. г.в. Крыштиь.

Комментарии*

Дополнения к описанию аннелирования:

  • Механизм и стереохимия: Аннелирование часто протекает как циклоприсоединение или циклизация с образованием новой связи между двумя атомами исходной циклической системы, что может влиять на стереохимию образующегося полициклического соединения.
  • Классификация: Различают линейное и угловое аннелирование, в зависимости от того, как новый цикл присоединяется к существующему.
  • Современные методы: Помимо классических методов (Робинсона, Вихтерле), широко используются каталитические реакции аннелирования, например, с участием палладиевых катализаторов (реакции Хека, Сузуки).
  • Значимость в химии природных соединений: Метод является ключевым для конструирования сложных полициклических структур, характерных для многих биологически активных молекул, таких как алкалоиды (например, стрихнин) и антибиотики.
*Подобраны с помощью LLM, верифицированы, но возможны неточности.