Способы активирования карбоксильной группы
Все способы активирования карбоксильной группы имеют целью усилить электрофильность карбонильного углерода. Это достигается введением в карбоксильную группу аминокислоты электроноакцепторных атомов или группировок, вызывающих понижение электронной плотности у карбонильного углерода.1. Применение х л орангидридов. Превращение ациламинокислот в соответствующие хлорангидриды является одним из наиболее старых способов активирования карбоксильной группы (Э. Фишер). Так, хлорангидрид карбобензоксиглицина легко реагирует с глицином в щелочной среде, образуя карбобензоксиглицил-глицин:

В настоящее время этот способ вытеснен новыми, более удобными способами активирования карбоксильной группы.
2. Применение азидов. Азиды N-замещенных аминокислот (или пептидов) легко взаимодействуют с эфирами аминокислот и пептидов, образуя эфиры N-замещенных пептидов;

Большим достоинством азидного метода является то, что реакция не сопровождается рацемизацией аминокислотных остатков.
3. Применение смешанных ангидридов (Виланд, Буассона; Воган). При действии эфиров хлоругольной кислоты на N-замещенные аминокислоты в присутствии третичных аминов образуются смешанные ангидриды аминокислоты и соответствующего эфира угольной кислоты:

Смешанные ангидриды, ввиду их неустойчивости, обычно не выделяют и вводят в реакцию с аминокислотой непосредственно после их образования. Они весьма реакционноспособны и при взаимодействии с эфирами аминокислот образуют эфиры N-замещенных пептидов:

Помимо эфиров хлоругольной кислоты, для образования смешанных ангидридов используют хлорангидриды других органических кислот. Можно также пользоваться смешанными ангидридами с фосфорной кислотой, комплексно связанным серным ангидридом и т. д.
4. Применение активированных эфиров. Как известно, эфиры аминокислот реагируют друг с другом с образованием пептидной связи и отщеплением молекулы спирта.
Реакция обычно не останавливается на стадии образования дипептида, а приводит к получению длинных полипептидных цепей.
В последнее время установлено, что введение в остаток эфира электроноакцепторных группировок повышает реакционную способность эфира аминокислоты (примером могут служить цианметиловые, п-нитрофениловые, 2,4-динитрофениловые эфиры).
Действуя на ациламинокислоту хлорацетонитрилом в присутствии основания, получают цианметиловый эфир ациламинокислоты, легко реагирующий с эфиром незамещенной аминокислоты:

Активированные эфиры нашли большое применение в синтезе пептидов. Особенно широко применяются п-нитрофениловые эфиры.
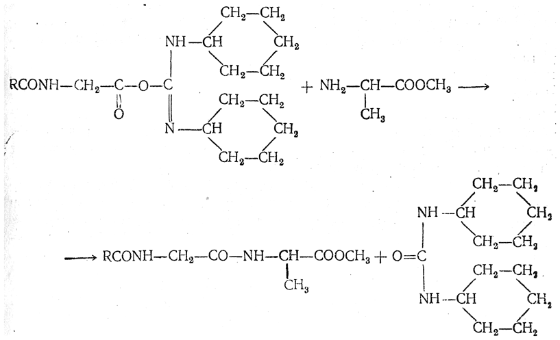
5. К а р б о д и и м и дн ы й метод. Для синтеза пептидов этим способом обычно употребляют дициклогексилкарбодиимид, получаемый дегидратацией дициклогексилмочевины п-толуолсульфохлоридом:

По-видимому, при взаимодействии дициклсгексилкарбодиимида с N-замещенной аминокислотой (или пептидом) сначала образуется О-ацилированная дициклогексилизомочевина

которая легко взаимодействует с эфиром аминокислоты (или пептида):

Дициклогексилкарбодиимид в конечном счете превращается в труднорастворимую дициклогексилмочевину, отделение которой от пептида обычно не представляет трудности.
Карбодиимидный метод с успехом применяется для получения пептидов различной длины. Большим преимуществом его является возможность проводить реакцию в водных и спиртовых растворах.
6. Применение это к си ацетилен а. N-Замещенные аминокислоты в мягких условиях реагируют с этоксиацетиленом:

Образующийся активированный эфир, взаимодействуя с аминной компонентой (эфир аминокислоты или пептида), дает соответствующий пептид:

Единственным побочным продуктом этой реакции является уксусноэтиловый эфир, что очень упрощает очистку полученного пептида.
Во всех описанных способах синтеза пептидов производится активирование карбоксильной группы. Известны также способы, основанные на активировании аминогруппы, но они не получили большого распространения.
Получение поли-α-аминокислот. Рассмотренные выше синтетические методы дают возможность получать индивидуальные пептиды с определенным чередованием аминокислотных остатков. Однако если не стремиться к такому строго определенному строению, то можно получать и более длинные полипептидные цепи путем конденсации аминокислот.
Получаемые полимеры не представляют собой индивидуальных химических соединений, а являются смесью полипептидов различной длины. Их синтезируют обычно, исходя из ангидридов N-карбоксиаминокислот (так называемые ангидриды Лёкса), получаемых, например, действием фосгена на α-аминокислоты:

Образование поли-α-аминокислот из ангидридов N-карбоксиаминокислот протекает по следующей схеме:

Поли-α-аминокислоты используются в качестве модельных соединений при изучении физико-химических и биологических свойств белков.
Эфиры аминокислот также легко конденсируются при нагревании с образованием смесей полипептидов.