Ганча синтезы

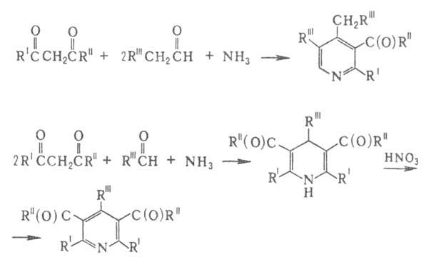
ГАНЧА СИНТЕЗЫ. 1) Получение пиридинов циклоконденсацией1098-32.jpgдикарбонильных соед. (напр.,1098-33.jpgдикетонов, эфиров малоновой к-ты и1098-34.jpgкетокислот) с альдегидами и NH3 непосредственно или через стадию окисления первоначально образующихся дигидропиридинов (в зависимости от строения и соотношения введенных в реакцию компонентов):
1098-35.jpg

Промежут. соед. (ф-лы I и II), вероятно образующиеся в ходе Ганча синтезов, м. б. синтезированы отдельно и использованы как исходные соед. в модификациях Ганча синтезов - р-циях с NH2OH (модификация Кнёвенагеля) или1098-36.jpgхлорвинилкетонами (синтез Ганча-Бейера):
1098-37.jpg

Для синтеза пиридинов м. б. использованы также нитрил1098-38.jpg аминокротоновой к-ты, циануксусный эфир, цианацетамид и др.

Важная модификация Ганча синтезов - прямой синтез пиридинов из малононитрила, альдегида и спирта:

1099-1.jpg

Литература

Кочетков Н. К., "Успехи химии", 1955, т. 24, в. 1, с. 32-51; Мошер Г., в кн.: Гетероциклические соединения, под ред. Р. Эльдерфилда, пер. с англ, т. 1, М., 1953, с. 356-65.

2) Получение тиазолов циклоконденсацией1099-2.jpgгалогенальдегидов (или их ацеталей),1099-3.jpgгалогенкетонов или1099-4.jpgгалогенкислот с тиоамидами:
1099-5.jpg

где Hal = Cl, Br; RI, RII = H, OAlk, Alk, Аг; RIII = Н, NH2, NHR, NR2, Ar, OAlk. В кач-ве карбонильных соед. используют также1099-6.jpgдиазокетоны и смеси кетонов с SO2C12 или I2. Вместо тиоамида можно применять смесь амида с P2S5, дитиобиурет или соли и эфиры дитиокарбаминовой к-ты. При использовании селеномочевины образуются селенотиазолы.

Литература

Кочетков Н. К., "Успехи химии", 1955, т. 24, в. 1, с. 32-51; Мошер Г., в кн.: Гетероциклические соединения, под ред. Р. Эльдерфилда, пер. с англ, т. 1, М., 1953, с. 356-65.

3) Получение пирролов циклоконденсацией1099-7.jpgгалогенкетонов с NH3 (или аминами) и1099-8.jpgдикарбонильными соед. (обычно ацетоуксусным эфиром):
1099-9.jpg

где Hal, RI, RII, RIII - те же, что и в предыдущем случае; RIV и Rv-opr. радикалы. Побочные продукты р-ции-производные фурана, к-рые можно синтезировать с большим выходом, применяя в кач-ве конденсирующего агента пиридин (этот синтез наз. р-цией Файста-Бенари). Синтезы предложены А. Ганчем соотв. в 1882, 1888 И 1890. Д. И. Махонькое.