Цинхомероновая кислота

ЦИНХОМЕРОНОВАЯ КИСЛОТА (пиридин-3,4-дикарбоновая к-та), мол. м. 167,12; бесцв. кристаллы, т. пл. 266-268 °С. Раств. в воде, плохо - в разл. орг. р-рителях.
При нагр. выше т-ры плавления цинхомероновая кислота декарбоксилируется с образованием смеси никотиновой и изоникотиновой к-т, при взаимод. с (СН3СО)2О превращается в ангидрид,т. пл. 67 °С.

6023-76.jpg

Спиртами этерифицируется с образованием моно- или диалкиловых эфиров, напр. взаимод. с СН3ОН приводит к диметиловому эфиру (т. кип. 168-171 °С/28 мм рт. ст.), к-рый при частичном гидролизе по положению 4 превращается в 3-метоксикарбонилизоникотиновую к-ту; взаимод. СН3ОН с ангидридом цинхомероновой кислоты приводит к 4-метоксикарбонилникотиновой к-те. Моноэфиры цинхомероновой кислоты при р-ции с NH3 превращаются в соответствующие амиды, к-рые под действием NaBrO по р-ции Гофмана дают аминопиридинкарбоновые к-ты. Диамид цинхомероновой кислоты в аналогичных условиях образует изоцианат (ф-ла I), самопроизвольно превращающийся в циклич. соед. II:

6023-77.jpg

Восстановление цинхомероновой кислоты Na в этаноле приводит к пиперидин-3,4-дикарбоновой к-те.
Получают цинхомероновую кислоту (наряду с фталевым ангидридом) окислением щелочным р-ром КМnО4 изохинолина (или его 5- и 8-аминопроизводных) либо 3,4-диалкилпиридинов, а также частичным декарбоксилированием пиридин-2,3,4-трикарбоновой к-ты.
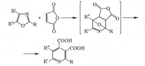
Важный путь синтеза замещенных цинхомероновой кислоты - взаимод. оксазолов с малеиновым ангидридом по реакции Дильса - Альдера:

6024-1.jpg

Лит.: Гетероциклические соединения, пер. с англ., т. 1, М., 1953, с. 447-48; Общая органическая химия, пер. с англ., т. 8, М., 1985, с. 272.

Л. Н. Яхонтов.

Синонимы/примеры:* Хинолин-2,3-дикарбоновая кислота
*подобраны ИИ, возможны неточности