Хинолизидин

ХИНОЛИЗИДИН (октагидрохинолизин, норлупинин), мол. м. 139,24; бесцв. жидкость; т. кип. 169-170 °С,6001-10.jpg1,4796. Хорошо раств. в воде и орг. р-рителях.
Хинолизидин - сильное основание, рКа9,37. С HHal, пикриновой и платинохлористоводородной к-тами образует устойчивые соли (т. пл. пикрата 137 °С, хлороплатината - 114 °С).

6001-11.jpg

Хинолизидин обладает св-вами третичных циклич. аминов. При действии СН3I хинолизидин превращается в соль транс-5-метилхинолизидиния:

6001-12.jpg

Обработка хинолизидина ацетатом Hg приводит к дегидрированию цикла с образованием иммониевой соли:

6001-13.jpg

Хинолизидин и его производные - осн. структурные фрагменты хинолизидиновых алкалоидов групп лупинина, нуфарина, цитизина, спартеина и матрина, входит также в состав нек-рых индольных, изохинолиновых и др. алкалоидов.
Хинолизидин получают декарбоксилированием лупиновой к-ты, выделенной из растений рода Lupinus (семейство Leguminosae), путем перегонки ее со смесью Са(ОН)2 и NaOH или из метилового эфира этой к-ты по р-циям:

6001-14.jpg

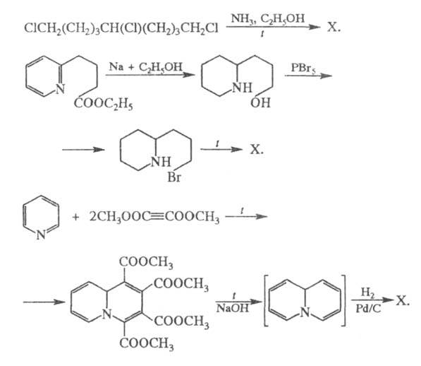
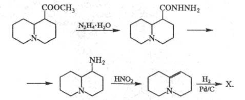
Осн. методы синтеза из соединений др. рядов:

6001-15.jpg

Нек-рые производные хинолизидина- лек. препараты (напр., пахикарпин, цитизин); многие производные токсичны.

Лит.: Садыков С.А., Асланов Х.А., Кушмурадов Ю. К., Алкалоиды хинолизидинового ряда, Химия, стереохимия, биогенез, М., 1975; Общая органическая химия, пер. с англ., т. 8, М., 1985, с. 286.

В. И. Келарев.