Физостигмин
ФИЗОСТИГМИН (эзерин; ф-ла I, R = OC(O)NHCH3), мол. м. 275,36; алкалоид, содержащийся в калабарских бобах -физостигме (Physostigma venenosum) семейства бобовых (Leguminoseae). Образует бесцв. кристаллы в двух формах: с т. пл. 86-87 0C и более устойчивой - с т. пл. 106-107 0C и
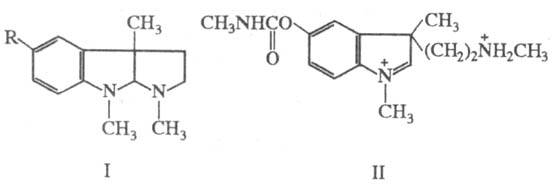
-82° (CHCl3), -120° (C6H6); хорошо раств. в этаноле, ди-зтиловом эфире и хлороформе, плохо - в воде. Физостигмин- третичное основание, образует кристаллич. соли: салицилат, т. пл. 186-187 0C; сульфат, т. пл. 145 0C, пикрат, т. пл. 118 0C; гидробромид, т. пл. 224-226 0C; бензоат, т. пл. 115-116 0C. Физостигмин и его соли (особенно в р-рах) неустойчивы в обычных условиях, под действием света физостигмин превращается в дезоксиэзеролин (I; R = H). В результате гидролиза физостигмина получаются метиламин, CO2 и эзеролин (I; R = ОН). При взаимод. последнего с метил-изоцианатом регенерируется физостигмин. При нагр. иодме-тилата физостигмина образуется физостигмол (1,3-диметил-5-гидрокси-индол). При действии к-т физостигмин переходит в катион (П), в избытке щелочи - в хинон красного цвета, что используют для обнаружения физостигмина.

Биогенетич. предшественник физостигмина- тяриптофан, к-рый на первой стадии образует 5-гидрокситриптофан.
Физиол. действие физостигмина обусловлено его способностью ингибировать ацетилхолинэстеразу. В медицине применяется (в виде салицилата) для сужения зрачка и снижения внутриглазного давления при глаукоме, как лек. ср-во при заболеваниях, связанных с нарушением нервно-мышечной проводимости, и при парезе кишечника. ЛД50 0,5 - 0,8 мг/кг (кролики, внутривенно), 3 мг/кг (кролики, подкожно).
Лит.: Садритдинов Ф. С., Курмуков А.Г., Фармакология растительных алкалоидов и их применение в медицине, Таш., 1980.
А.А. Ибрагимов.