Ксантотоксин

КСАНТОТОКСИН (9-метоксифуро[3,2-d]хромен-7-он, 9-метоксипсорален, ф-ла I), мол. м. 216; бесцв. кристаллы с орторомбич. решеткой; т. пл. 148 °С; хорошо раств. в хлорoформе, ацетоне, горячим этаноле, плохо - в воде. В УФ спектре lмaкс 219, 249 и 300 нм. Ксантотоксин при сплавлении с КОН превращ. в смесь пирогаллола и 2,3,4-тригидро-ксибензойной к-ты. Озонирование ксантотоксина приводит к размыканию фуранового кольца и образованию соед. ф-лы II, окисление при помощи СrО3 - к бергаптенхинону (III):
541_560-11.jpg
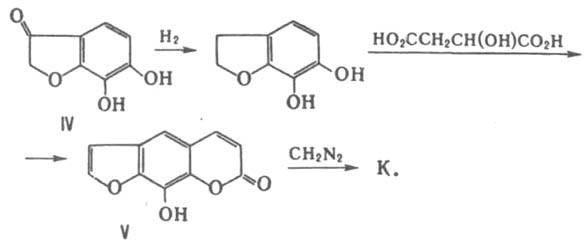
Ксантотоксин нитруется в ледяной СН3СООН с образованием 4-нитроксантотоксина. Бромирование N-бромсукцинимидом в ССl4, а также взаимод. с 2 эквивалентами Вr2 приводят к образованию 4-бромксантотоксина; с 10 эквивалентами Вr2 в хлороформе образуется 2,3,4-трибром-2,3-дигидроксантотоксин. При нагр. с тиофенолом в присут. пиперидина ксантотоксин превращ. в 5-фенилтио-5,6-дигидроксантотоксин, при р-ции с хлорсульфоновой к-той - в 4-хлорсульфонилксантотоксин. Амальгама Na в присут. NaOH восстанавливает ксантотоксин до 5,6-дигидропроизводного. Ксантотоксин содержится в семенах и плодах тропических растений Fagara xanthoxyloides lam, Angelica archangelica, в семенах растения Ammi majus L, в корнеплодах растений семейства Pastinaca saliva L. Ксантотоксин обычно выделяют из растений. Синтезируют его исходя из 6,7-дигидроксикумаранона (IV) или 9-гидроксипсоралена (V):
541_560-12.jpg
Качественно ксантотоксин определяют по желтому цвету р-ра в конц. H2SO4 (при нагр. цвет переходит в коричневый). Ксантотоксин-компонент фотосенсибилизирующих лек. ср-в, напр. бероксана, аммифурина.

Литература
Гетероциклические соединения, под ред. Р. Эльдерфильда, пер. с англ., т. 7, М.. 1965, с. 19; Общая органическая химия, пер. с англ., т. 8, М., 1985, с. 741.
Р. Я. Попова.

Синонимы/примеры:* Бергаптен; Метоксален; Аммоидин
*подобраны ИИ, возможны неточности