Озонирование
ОЗОНИРОВАНИЕ. 1) Взаимод. орг. соед. с озоном. Наиб. изучено озонирование олефинов по двойной связи. В р-рах это быстрая бимол. р-ция (константа скорости 105 л/моль·с). В первом акте р-ции образуется я-комплекс олефина с озоном (ф-ла I; относительно стабилен при т-ре ниже — 140°С), к-рый затем превращ. в первичный озонид (молозонид) 1,2,3-триоксолан (ф-ла II). Др. возможное направление р-ции - образование эпоксидных соед. III. Первичный озонид нестабилен и распадается с образованием карбонильного соед. и карбонил-оксида (IV). В результате взаимод. карбонилоксида с карбонильным соед. образуется биполярный ион (V), к-рый затем превращ. во вторичный озонид 1,2,4-триоксолан (VI). Последний при восстановлении распадается с образованием смеси двух карбонильных соединений. Ион IV может ди-меризоваться в пероксид VII, а ион V полимеризоваться в озонид VIII.

С водой, спиртами и к-тами карбонилоксид образует гидрокси-, алкокси- и ацилоксигидропероксиды, разложение к-рых приводит к альдегидам, кетонам или карбоновым к-там:

Последнюю р-цию применяют для пром. получения азелаи-новой и пеларгоновой к-т из олеиновой или линолевой.
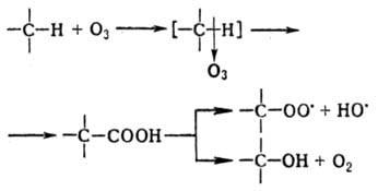
В газовой фазе озонирование протекает на порядок медленнее, чем в р-ре, и описывается более сложными закономерностями; при этом происходит, напр., разложение карбонилоксида до СО2 и орг. радикалов через возбужденное состояние, образующееся при изомеризации:

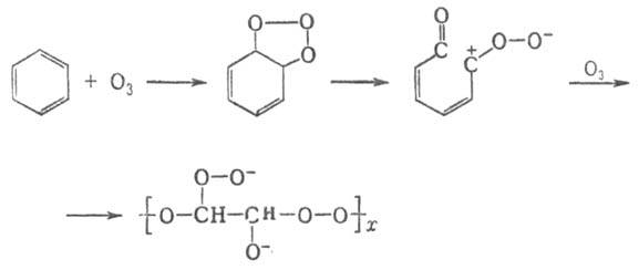
Озонирование ароматич. соед. протекает по типу озонирования олефинов с образованием полимерных озонидов, напр.:

Присоединение О3 нарушает ароматич. сопряжение в ядре и требует затрат энергии, поэтому скорости озонирования гомологов коррелируют с энергией сопряжения. Озонирование насыщ. углеводородов протекает, по-видимому, по механизму внедрения:

Возможность генерирования радикалов обусловила использование озонирования для инициирования цепных процессов, конечные продукты к-рых-спирты, кетоны, к-ты.
Озонирование элементоорг. соед. обычно сопровождается разрывом связи углерод-элемент, напр.: Рb(С2Н5)4 + 2О3
РbО2 + 4СН3СНО; SiR4 + O3
R3SiOOH
SiO2. Промежуточно иногда образуются пероксиды и гидропероксиды.
Озонирование серо- и азотсодержащих орг. соед. протекает, напр., по р-циям:

Озонирование используют в орг. химии для обработки диеновых каучуков и их сополимеров с целью получения бифункцион. олигомеров. Разложение орг. соед. под действием озона (озонолиз) применяют для получения кислородсодержащих соед. заданной структуры (альдегидов, спиртов, к-т) и установления положения двойных связей С
С в скелете сложных орг. и высокомол. соед. (стероидов, сополимеров бутадиена, изопрена и др.).
2) Технол. процесс обработки озоном воды, воздуха и др. в-в. Оказывает сильное бактерицидное действие, устраняет неприятный запах и привкус, возвращает воде естеств. цвет, уменьшает коррозионную активность воды. Озонированная вода не содержит токсичных галогенметанов - типичных примесей стерилизации воды хлором. Процесс озонирования проводят в барботажных ваннах или смесителях, в к-рых очищенная от взвесей вода смешивается с озонированным воздухом или кислородом. Недостаток процесса - быстрое разрушение О3 в воде, обусловленное р-цией 2О3 + 2ОН- + 2Н+
ЗО2 + + 2Н2О. В мире эксплуатируются более 2 тыс. установок по озонированию воды.
Озонирование применяют также в пищ. пром-сти для стерилизации холодильников, складов, устранения неприятного запаха; в мед. практике-для стерилизации открытых ран и лечения нек-рых хронич. заболеваний (трофич. язвы, грибковые заболевания).
Лит.: Разумовский С. Д., Заиков Г.Е., Озон и его реакции с органическими соединениями, М., 1974; Bailey Ph. S., Ozonation in organic chemistry, v. 1-2, N.Y., 1978-82. С. Д. Разумовский.