Нематоциды
НЕМАТОЦИДЫ (нематициды), хим. средства для уничтожения растительноядных нематод - вредителей с.-х. культур. Иногда нематоцидами наз. также антигельминтные ср-ва, эффективные против нематодных паразитов животных. Св-вами нематоцидов обладают почвенные фумиганты, среди к-рых летучие галоген-углеводороды, метилизотиоцианат и в-ва, выделяющие его при гидролизе. К первым относят: 1,3-дихлорпропен СlСН=СНСН2Сl, используемый в осн. в виде смеси с 1,3-дихлорпропаном (препарат ДД), норма расхода 250-1000 кг/га; смесь 1,3- и 3,3-дихлоризобутенов с 1,2-дихлоризобутаном (препарат ДДБ); метилбромид, норма расхода 160 г/см2; хлорпикрин. Эффективные нематоциды 1,2-дибром-3-хлорпропан и 1,2-дибромэтан в большинстве стран запрещены, а применение ДД и др. галогенуглеводо-родов резко уменьшено.
Метилизотиоцианат используют в виде водного р-ра (препарат трапекс) или в смеси с препаратом ДД (ди-тра-пекс), норма расхода 50 мл/м2. Из в-в, выделяющих метилизотиоцианат, применение находят метам-натрий (карбати-он) CH3NHCSSNa.H2O, норма расхода 600-800 кг/га, и диазомет (тиазон; ф-ла I), норма расхода 230-1700 кг/га. Нематоциды используют для защиты овощных культур от вредителей и для обеззараживания почвы в теплицах.

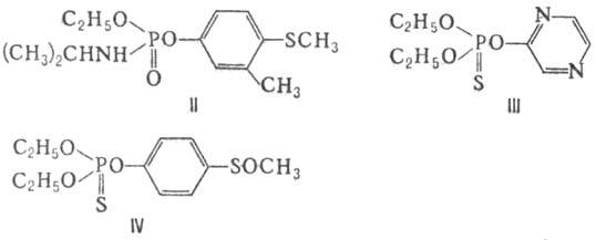
Нематоциды-фумиганты обладают также гербицидным, инсектицидным и фунгицидным действием и приводят к полной стерилизации почвы (посев на ней возможен лишь через3-6 недель); даже при высоких нормах расхода они недостаточно эффективны на тяжелых, сильно адсорбирующих почвах. Все большее применение в качестве нематоцидов находят нек-рые инсектициды из группы N-метилкарбаматов и фосфорорг. соед., напр.: карбофуран, альдикарб, гетеро-фос, фостиэтан, диазинон (см. Инсектициды), оксамил (СН3)2NCOC(SCH3)=NOCONHCH3, этопрофос C2H5OP(O)(SCH2CH2CH3)2, фенамифос (II), а также тербу-фос (C2H5O)2P(O)SCH2SC(CH3)3, тионазин (III), фенсуль-фотион (IV) и др.

Эти препараты действуют как ингибиторы ацетилхолин-эстеразы, они сравнительно безопасны для растений, но высокотоксичны для людей и животных. Применяются преим. в виде гранул с содержанием действующего в-ва 5-10%, вносимых в почву или рассеиваемых по ее пов-сти перед посевом, нормы расхода 1-10 кг/га. Нек-рые из этих нематоцидов, напр. альдикарб, карбофуран, фенамифос и др., обладают системным действием (всасываются в растение и, передвигаясь по нему, делают его токсичным для нематод). В этом случае необходим контроль за допустимыми остаточными кол-вами нематоцидов в обработанных продовольств. культурах и продуктах питания.
Лит.: Гущин Б. Е., Химические средства борьбы с нематодами в сельском хозяйстве, М., 1983; Мельников Н. Н., Белан С. Р., Новожилов К. В., Справочник по пестицидам, М., 1985; Pflanzenschutz und Schadlingsbekampfung, hrsg. von К. H. Buchel, Stuttg., 1977; Hague N.G., Gowen S.R., в кн.: Principle and practice of nematode control in crops, ed. by R. H. Brown, B. R. Kerry, Sydney - [a. o.], 1987, p. 131 -178. Г. С. Швиндлерман.