Замещения реакции
ЗАМЕЩЕНИЯ РЕАКЦИИ, происходят с обменом атомов или групп атомов в молекуле на др. атомы или группы; обозначаются символом S (от лат. substitutio - замещение). В зависимости от способа расщепления связи элемент - уходящая группа (с распариванием пары электронов или ее сохранением) различают р-ции гомолитич. (SR) и гетеролитич. замещения; последние в зависимости от того, у какого атома остается пара электронов, подразделяют на р-ции нуклеоф. (SN) или электроф. (SЕ) замещения, напр.:
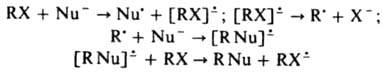
В р-циях гетеролитич. замещения нуклеоф. частица часто предоставляет свою электронную пару для образования новой связи не сразу, а постадийно, т. е. реализуется механизм замещения с переносом электрона и образованием промежут. анион-радикальных частиц (напр., по механизму SRN 1):
Иногда бывает трудно отнести замещение к к.-л. определенному типу, поскольку классификация зависит от того, какую молекулу считают субстратом, а какую - реагентом. Напр., р-ция Вюрца R—Hal + R'M : R—R' + MHal - SN-р-ция по отношению к RNal и SE - пo отношению к R'—М. Гомолитич. путь замещения у насыщ. атома углерода осуществляется в осн. по цепному радикальному механизму и характеризуется стадиями инициирования, роста и обрыва цепи (см. Радикальные реакции). К важнейшим р-циям этого типа относятся гомолитич. хлорирование (металепсия), радикальное нитрование (р-ция Коновалова), окисление углеводородов. Электроф. и нуклеоф. замещения реакции в зависимости от кинетич. закономерностей разделяются на би- и мономолекулярные. Бимолекулярное замещение (SN 2 и SE 2) осуществляется через переходное состояние, в к-ром происходит одновременное образование новой и разрыв старой связи. При мономолекулярном замещении атакующий агент (нуклеофил или электрофил) не принимает участия в лимитирующей стадии р-ции, а в молекуле субстрата происходит разрыв связи с образованием карбкатиона (механизм SN 1), карбаниона (механизм SЕ 1) или соответствующих им ионных пар
Стереохим. результат замещения зависит от конкретного механизма р-ции и природы реагирующих соединений. Р-ции SN 2 в осн. протекают с обращением конфигурации оптически активного атома углерода, р-ции SЕ 2 соединений с s-связью углерод - металл в осн. с сохранением конфигурации.

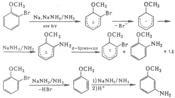
В ароматич. ряду механизмы замещения реакций более разнообразны. Наиб. изучено электроф. ароматич. замещение (SE Аr), протекающее с промежут. образованием катионного s-комплекса (см. Ароматические соединения). К этому типу замещения относятся р-ции нитрования, сульфирования, азосочетания, алкилирования и ацилирования по Фриделю Крафтсу и др., причем скорость р-ции и место вхождения заместителя зависят от природы присутствующих в субстрате групп (ориентанты первого и второго рода). В качестве уходящей группы выступает обычно водород, хотя известны примеры замещения одной группы на другую (unсо-замещение). Нуклеоф. замещение в электронодефицитной ароматич. молекуле протекает чаще всего через стадию образования анионного s-комплекса. Др. важнейшие механизмы нуклеоф. замещения в ароматич. ряду механизм SRN 1 и ариновый, характеризующийся возникновением дегидробензолов. Изменение условий протекания одной и той же р-ции может привести к изменению механизма процесса и строения продуктов, напр.:
В гетероциклич. ряду замещения реакции могут происходить с участием как заместителей, так и атомов самого кольца. Примеры последнего варианта замещения р-ция Юрьева для взаимных превращ. пиррола, фурана и тиофена, а также р-ции, протекающие по механизму ANRORC. Эти р-ции протекают с раскрытием цикла и послед. его замыканием, напр.:
В химии неорг. соед. примерами замещения реакций являются обмен лигандов в координационных соединениях, вытеснение металла из соли под действием др. металла и т. д., напр.:
Независимо от механизма р-ции, к-рый в последнем случае относится к окислит-восстановит. типу, результат процесса - замещение. См. также Нуклеофильные реакции, Одноэлектронный перенос. Электрофильные реакции.
Литература
Басоло Ф., Пирсон Р. Механизмы неорганических реакций, пер. с англ., М. 1971. Эфрос Л. С., Горелик М. В., Химия и технология промежуточных продуктов. Л., 1980. с. 62-90 Общая органическая химия, пер. с aнгл.
Ещё по теме
Замещения реакции в химии — механизмы и примеры
Присоединения реакции в органической химии
Типы химических реакций и их механизмы
Химические реакции — механизмы и кинетика
Электрофильные реакции
Элиминирование реакций в органической химии
Перегруппировки молекулярные
Теле-замещение в органической химии
Согласованные реакции в химии — основные аспекты
Типы фрагментации реакций в органической химии
Перегалогенирование в органической химии
Радикальные реакции в химии — механизмы и примеры
Нуклеофильные реакции в органической химии