Пиколиновая кислота
ПИКОЛИНОВАЯ КИСЛОТА (пиридин-2-карбоновая к-та), мол. м. 123,12; бесцв. кристаллы; т. пл. 136-1370C; m 14,74· 10-30 Кл·м (диоксан);
-10,21 Дж/моль;
36,42 Дж/моль · К). Хорошо раств. в воде и этаноле (5,44 г в 100 мл, 250C), уксусной к-те; не раств. в диэтиловом эфире, бензоле, хлороформе; рКа при 22 0C 1,01 (присоединение протона) и 5,32 (отщепление протона). Образует соли с к-тами и основаниями; с солями Cu(II) и Fe (II) ( в отличие от пиридин-3- и пиридин-4-карбоновых к-т) даст окраш. комплексы, что используется в аналит. практике.

В водных р-рах пиколиновая кислота существует гл. обр. в форме цвит-териона (ф-ла I); при нагр. до 180 0C легко декарбоксили-руется с образованием илида пиридиния (II), к-рый обычно улавливают по р-циям с альдегидами или солями диа-зония:

При взаимод. с алкилгалогенидами в щелочной среде превращ. в N-алкилпроизводные. По карбоксильной группе дает сложные эфиры, амиды, гидразиды и др. производные, напр. метиловый эфир с т. кип. 112 0C/13 мм рт. ст., амид с т. пл. 1070C.
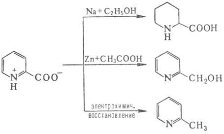
Пиколиновая кислота легко вступает в р-ции нуклеоф. замещения. Длит. нагревание при 100 0C с SOCl2 приводит к образованию 4-хлорпиколиновой к-ты, при более высокой т-ре-к 4,6- и 4,5,6-хлорзамещенным. Восстановление пиколиновой кислоты приводит к разл. пиридиновым и пиперидиновым производным, напр.:

Осн. методы синтеза пиколиновой кислоты -окисление 2-пиколина и др. 2-замещенных пиридинов под действием KMnO4, SeO2, NaClO3, H2SO4 в присут. Se или электрохимически, а также окислит. аммонолиз 2-пиколина с послед. гидролизом образовавшегося нитрила.
Нек-рые производные пиколиновой кислоты, в частности 6-метилпиколиновая к-та,-промежут. продукты в синтезе лек. ср-в, напр, димеколина. Ag-Соль пиколиновой кислоты-мягкий окислитель спиртов до альдегидов или кетонов, гидрохинонов до хинонов.
Лит.: Гетероциклические соединения, под ред. P. Эльдерфилда, пер. с англ., т. 1, M., 1953, с. 437 52; Джоуль Дж., Смит Г., Основы химии гетероциклических соединений, пер. с англ., M., 1975, с. 80; Физеr М., Физер Л., Реагенты для органического синтеза, пер. с англ., т. 6, M., 1975, с. 209. Л. H. Яхонтов.