Полимерные красители
ПОЛИМЕРНЫЕ КРАСИТЕЛИ, полимеры (олигомеры), содержащие фрагменты красителей в осн. или боковой цепи. Применяют для окрашивания полимерных материалов: пластмасс, волокон, покрытий.
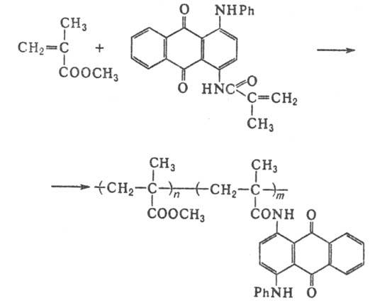
Осн. методы получения полимерных красителей: 1) гомополимеризация винил (или акрил) замещенных красителей или их сополиме-ризация с трад. непредельными мономерами. Напр., сополи-меризацией метилметакрилата и метакрилоиламиноантра-хинона получают полимерные красители для окрашивания полистирольных пластиков:

2) поликонденсация красителей, содержащих две или более гидрокси- или аминогрупп, с производными дикарбо-новых к-т. Напр., поликонденсация 4,4'-дигидроксиазобен-зола с фумаровой или азобензолдикарбоновой к-той приводит к полиэфирам, к-рые в виде композиции с полистиролом и полиметилметакрилатам предложено использовать для получения окрашенных в желтые и красные цвета стеклопластиков. Олигомерные эфиры адипиновой к-ты, содержащие в цепи гидрокси- или аминоантрахиноновые фрагменты, предложены для окрашивания полиуретановых покрытий искусств. кож; такие полимерные красители обладают хорошей светостойкостью.
В качестве хромофорных фрагментов в полимерные красители могут входить, помимо антрахиноновых и азокрасителей, ксанте-новые, фталоцианиновые и др. От строения хромофорного фрагмента зависят термо- и светостойкость полимерных красителей, от строения олигомерного фрагмента, а также св-в скрашиваемого материала,-миграц. устойчивость.
Направл. изменением хим. структуры макромолекул можно получать полимерные красители, совместимые как с высокополярными, так и с неполярными полимерными материалами. Так, при конденсации аминоантрахинонов с эпихлоргидрином, дифенилолпропаном и ClCH2CH(SO3Na)CH2Cl образуются водорастворимые полиэфирные смолы, к-рые м. б. использованы для изготовления водоразбавляемых лакокрасочных материалов.
Полимерные красители дают ровные и прозрачные окраски; применение их позволяет отказаться от энергоемкой стадии диспергирова-ния орг. пигментов и перевода их в спец. выпускные формы.
Широкого практич. применения полимерные красители пока не нашли.
Лит.: Барашков H. H., Структурно-окрашенные полимеры и материалы на их основе, M., 1987; Asquith R. S., Blair H. S., Orangle А., Riordan E., "J. Soc. Dyers and Colourists", 1977, v. 93, No 4, p. 114-25. Я.Я. Барашков.