Азометиновые красители

АЗОМЕТИНОВЫЕ КРАСИТЕЛИ, содержат в молекуле азометиновый мостик1009-34.jpgC=N—, входящий в систему сопряженных двойных связей. По структуре и цвету (чаще всего они желтого цвета) занимают промежут. положение между азокрасителями (—N=N—) и метиновыми красителями (1009-35.jpgС—-СН—). Поскольку связь C=N легко гидролизуется в кислой среде, азометиновые красители не получили большого распространения для крашения тканей. Их используют в цветной фотографии, т.к. проявленные и высушенные пленки и отпечатки в дальнейшем не подвергаются мокрым обработкам. Азометиновые красители, содержащие в ароматич. ядре группы ОН в орто-положении к азометиновому мостику, при обработке солями металлов (Си, Сг, Ni, Co, Fe и др.) дают нерастворимые комплексы, многие из к-рых (особенно бис-азометины)-хорошие пигменты.

Азометиновые красители получают след. способами:

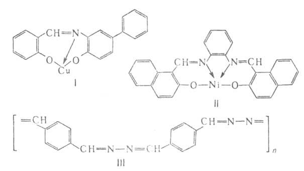
1. Взаимод. ароматич. альдегида с ароматич. амином, диамином или гидразином при умеренном нагревании в водной среде с послед. добавлением соли металла, если требуется получить комплекс. Так могут быть получены пигменты ф-л I и II. Хороший пигмент (III)-продукт поликонденсации терефталевого альдегида с гидразином-м. б. получен непосредственно на текстильном материале.
1009-36.jpg

2. Взаимод. ароматич. гидроксисоединения с гексамети-лентетрамином:
1009-37.jpg

Особый метод образования азометиновых красителей применяется в цветной фотографии: ароматич. амин и соед., содержащее активную метиленовую группу, подвергают совместному окислению.

При этом метиленовая компонента находится в галогенсеребряном эмульсионном слое фотоматериала, а амин - в проявляющем р-ре; окислителем служит экспонированный на свету AgHal. Краситель образуется в засвеченных местах эмульсии. Упрощенный пример:
1009-38.jpg

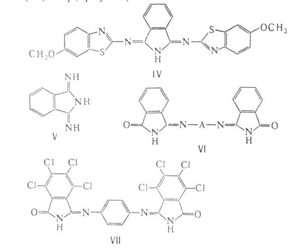
Азометиновые пигменты относятся в осн. к двум группам: о-гидроксиальдегидные (ф-лы I - II) и изоиндолиновые. В последних атом углерода азометиновой связи принадлежит гетероциклу. Пигменты типа IV получают нагреванием в спиртовой среде 1,3-дииминоизоиндолина (V) с 2 молями ароматич. амина, к-рым служит в случае красного IV 2-амино-6-метоксибензотиазол. Аналогично из 2-аминобензимидазола или 2-аминобензоксазола получают желтые пигменты. Более прочные пигменты образуются из тетра-хлоризоиндолина. Пигменты типа VI получают из 3-ими-но-1-оксоизоиндолина и ароматич. диаминов, таких, как дианизидин, диаминопиридины. Но и в этом случае Наиб. значение имеют пигменты на основе тетрахлоризоиндолинона (см., напр., ф-лу VII).
1009-39.jpg

Азометиновые пигменты выпускают под торговыми назв. палиотоли (ФРГ), иргазины (Швейцария). Их используют в произ-ве лакокрасочных материалов, для крашения пластмасс и полиолефиновых волокон, в полиграфии. Ранее применявшиеся флуоресцентные азометиновые красители оксиальдегидного типа (люмогены) и азометиновые красители для искусств. волокон вышли из употребления.

Лит.. Венкатараман К., Химия синтетических красителей, пер. с англ., т. 2, Л., 1957, с. 1374-Ж); т. 5, Л., 1977, с. 377-78; Степанов Б. И., Введение в химию и технологию органических красителей, 2 изд., М., 1977, с. 250-54. И. А. Троянов.