Индофенолы
ИНДОФЕНОЛЫ, группа хинониминовых красителей - 4'-гидроксипроизводных N-фенилхинонимина. Простейший представитель - соединение ф-лы I. Индофенолы - синие кристаллы; раств. в орг. р-рителях и минер. к-тах, водных р-рах щелочей. Разб. к-тами расщепляются на гидрохиноны и п-аминофенолы.
Восстанавливаются (Fe в кислой среде, Na2S, Na2S2O4) до бесцв. 4,4'-дигидроксидифениламинов, вновь переходящих в индофенолы под действием окислителей (HgO, Ag2O, O2). На этом св-ве основано применение нек-рых индофенолов как окислит.-восстановит. индикаторов. Кроме того, индофенолы обратимо меняют окраску при изменении рН среды:
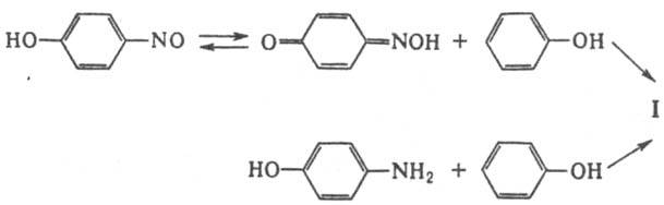
Подобно п-бензохинону индофенолы присоединяют в орто-положение к центр. атому N разл. группы (SH, ArNH, S2O3H), к-рые могут вступать во внутримол. циклизацию, что используется в синтезе оксазиновых, тиазиновых, диазиновых и сернистых красителей. Получают индофенолы взаимод. п-нитрозофенолов с фенолами (нитрозный способ) или совместным окислением (К2Сr2О7, NaClO) в кислой среде фенолов и n-аминофенолов (окислит. способ), напр.:
Из-за низкой хим. стойкости индофенольные красители для текстиля утратили свое значение.
Литература
Степанов Б. И., Введение в химию и технологию органических красителей, 3 изд., М., 1984. С. И. Попов.
Синонимы/примеры:*
Индофенол; Индофенол А; Индофенол Б; Индофенол В
*подобраны ИИ, возможны неточности
Ещё по теме
Нитрофенолы — характеристики и применение
Индоксил — свойства и применение
Оксидифениламины — свойства и применение
4-Нитрозофенол — свойства и применение
Нитроаминофенолы — характеристики и применение
Нитрофенолы — свойства и применение
Нитрофенолы — свойства и применение
Хинониминовые красители — особенности и применение
Оксинафтохиноны — свойства и применение
Аминофенолы — характеристики и применение
Нитрозодифениламины — свойства и применение
Эфиры нитрофенолов — свойства и применение
Нафтохиноны — свойства, получение и применение
Хинонимины — свойства и применение