Анзерин
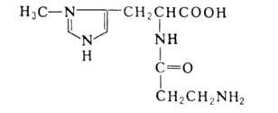
АНЗЕРИН (ансерин; N-метил-L-карнозин;
-аланил-N-мe-тилгистидин), мол. м. 249,3; кристаллы,
+ 12,25°; хорошо раств. в воде, не раств. в этаноле; изоэлектрич. точка 7,6-7,7. Вместе с карнозином содержится в мозге (их суммарное кол-во - ок. 150мг на 100 г ткани) и скелетных мышцах большинства позвоночных (от следовых кол-в у лягушки, лошади и человека до неск. сотен мг на 100 г ткани у кролика, кошки и курицы).
Биол. роль анзерина подробно не изучена. Установлено благоприятное влияние его на сохранение структуры митохондрий и окислит. фосфорилирование в измельченных грудных мышцах голубя. Биосинтез анзерина может осуществляться из
аланина и N-метилгистидина в присут. фермента карнозинсинтетазы или метилированием карнозина с помощью S-аденозилметионина.
Анзерин осаждают из безбелкового фильтрата в виде комплекса с HgSO4. Обработкой последнего H2S выделяют анзерин. Для его определения используют тонкослойную или бумажную хроматографию (проявитель-нингидрин). Может быть количественно определен совместно с карнозином фотометрированием при 640 нм продуктов их взаимод. с о-фталевым альдегидом.
Мешкова Н. П., в кн.: Успехи биологической химии, т. 6, М., 1964, с. 86-107; её же, Биохимия мышц, М., 1979, с. 104-22. С.Е. Северин.
Комментарии*
Дополнения к описанию анзерина:
-
Более современное определение и роль: Анзерин классифицируется как дипептид, состоящий из бета-аланина и 1-метилгистидина. В настоящее время его рассматривают как важный внутриклеточный pH-буфер в скелетных мышцах, особенно у животных, способных к интенсивной и быстрой мышечной работе.
-
Ключевые свойства и механизмы:
- Основная биологическая функция — буферизация кислотности, возникающей в мышцах во время интенсивных физических нагрузок (за счет накопления ионов водорода).
- Обладает антиоксидантными свойствами, защищая клетки от окислительного стресса.
- Способен хелатировать ионы металлов, такие как медь и цинк.
-
Практическое применение и значимость:
- Изучается в спортивном питании как добавка для повышения выносливости, снижения мышечной усталости и улучшения физической работоспособности.
- Исследуется его потенциальная роль в предотвращении возрастной саркопении (потери мышечной массы) и нейропротекторные свойства.
*Подобраны с помощью LLM, верифицированы, но возможны неточности.
Синонимы/примеры:*
Карнозин; N-ацетилкарнозин
*подобраны ИИ, возможны неточности
Дополнения к описанию анзерина:
Более современное определение и роль: Анзерин классифицируется как дипептид, состоящий из бета-аланина и 1-метилгистидина. В настоящее время его рассматривают как важный внутриклеточный pH-буфер в скелетных мышцах, особенно у животных, способных к интенсивной и быстрой мышечной работе.
Ключевые свойства и механизмы:
Практическое применение и значимость: