Карнозин

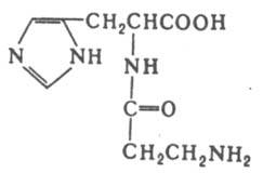
КАРНОЗИН (от лат. саrо, род. падеж carnis - мясо) (b-аланилгистидин), мол. м. 226,3; бесцв. кристаллы; т. пл. 246-260 °С (с разл.); [a]D25 +21,1 ° (5,7%-ный водный р-р); хорошо раств. в воде, не раств. в этаноле и эфире; рI 7,6-7,7. В больших кол-вах (от 150 до 1000 мг на 100 г ткани) содержится только в скелетной мускулатуре позвоночных (исключение -нек-рые представители рыб, напр., карась и окунь) и в обонятельной луковице (50-60 мг на 100 г ткани).
322_339-38.jpg
Биол. роль карнозина окончательно не выяснена. Установлено, что он является предшественником в биосинтезе анзерина; благоприятно влияет на гликолиз и окислит. фосфорилирование, увеличивая кол-во образующегося АТФ; повышает отношение Са/АТФ при нарушенном активном транспорте Са в пузырьках саркоплазматич. ретикулома; увеличивает эффективность активного транспорта К+ и Na+ через плазматич. мембрану; препятствует пероксидному окислению липидов; активирует восстановление поврежденных тканей. Биосинтез карнозина осуществляется гл. обр. в скелетных мышцах при участии малоспецифичного фермента карнозинсинтетазы по схеме:

b-Аланин + АТФ + Е D Е—b-Аланил—АМФ + ПФ;

Е—b-Аланил—АМФ + Гистидин D Карнозин + АМФ + Е.

Е - карнозинсинтетаза, АМФ - аденозинмонофосфат, ПФ -пирофосфорная к-та. Р-ция практически необратима, т. к. ПФ быстро гидролизуется пирофосфатазой до Н3РО4. У мн. животных в корковом слое почек, печени, в обонятельной луковице, селезенке, cекрете слизистой тонкого кишечника находится фермент карнозиназа, катализирующий гидролиз карнозина до b-аланина и гистидина. Карнозин синтезируют из хлорангидрида N-фталил-b-аланина и гистидина (выход ок. 27%) или выделяют из измельченных мышц экстрагированием водой при 60 °С с послед. осаждением карнозина из безбелкового фильтрата солями Ag и Ва. Для определения карнозина используют бумажную и колоночную хроматографию (в отсутствие анзерина) или фотометрируют при 640 нм продукт его взаимод. с о-фталевым альдегидом. Последний метод используют для суммарного определения анзерина и карнозина. Р-ры карнозина с концентрацией 10-20 мМ в экспериментах на животных оказались эффективными для лечения старческой катаракты и при заживлении послеоперационных ран. По зарубежным данным, м.б. использован для ускорения заживления ран в стоматологич. хирургии.

Литература
Мешков Н. П., "Успехи биологической химии", 1964, № 6, с. 86-107; Северин С. Е., Болдырев А. А., Дупин А. М., "Вопросы медицинской химии", 1984, № 3, с. 32-36; Nagai К., Yamane Т., "Heterocycles", 1978, v. 10, p. 277-347; "Comparative Biochemistry and Physiology", 1983, v. 74B, № 3, p. 623-26; "Biochemistry International", 1987, v. 15, № 6, p. 1105-15.
C. E. Северин.

Синонимы/примеры:* L-карнозин; β-аланил-L-гистидин
*подобраны ИИ, возможны неточности