Дикетен
ДИКЕТЕН (4-метилен-2-оксетанон, b-метилен-b-пропиолактон; ф-ла I), мол. м. 84,07; т. пл. -8°С, т. кип. 127,4°С; d420 1,0943; nD20 1,4378; m 10,66-10-30 Кл.м (25°С, бензол). Не раств. в воде, раств. в орг. р-рителях, обладает острым запахом. Чрезвычайно активное соединение.
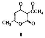
Устойчив только ниже 0°С в присут. антиоксидантов. При более высоких температурах полимеризуется; реакция ускоряется веществами как основного (напр., пиридин), так и кислотного (напр., АlВr3) характера. Основной продукт самопроизвольной полимеризации дикетена - дегидрацетовая кислота (ф-ла II).
Обычно дикетен реагирует с раскрытием цикла по ионному механизму, напр.:
Возможно радикальное присоединение по связи С=С, напр.:
При пиролизе дикетена (400-500 °С) образуется кетен СН2=С=О, димеризацией к-рого в ацетоне при 40-50°С получают сам дикетен. Применяют дикетен для синтеза производных ацетоуксусной к-ты и гетероциклич. соединений. Дикетен - токсичен, раздражает слизистые оболочки и кожу. Порог раздражающего действия 0,002-0,003 мг/л. ПДК 0,5-1,0 мг/м3.
Литература
The chemistry of kctcnes, allenes and related compounds, ed. by. S. Patai, N.Y., 1980. Е. Г. Тер-Габриэлян.
Синонимы/примеры:*
Ацетилкетен; 4-метилен-2-оксетанон; 4-метиленоксетан-2-он
*подобраны ИИ, возможны неточности
Ещё по теме
Диоксан — характеристики и применение
Дикетен — характеристики и безопасность
Дифениловый эфир — характеристики и применение
5-(2.5-Диметилфенокси)-пентанон-2-этиленкеталь — описание и характеристики
Дивинилацетилен — характеристики и применение
Полигликоли — свойства и применение