Нафтизин
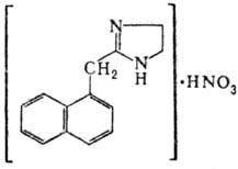
НАФТИЗИН [нитрат 2-(1-нафтилметил)-2-имидазолина, са-норин], мол. м. 273,29; бесцв. кристаллы; т. пл. 167-170°С; плохо раств. в воде и хлороформе, практически не раств. в диэтиловом эфире. Получают взаимод. 1-нафтилуксусной к-ты, ее амида, тиоамида или нитрила с этилендиамином в кислой среде с послед. очисткой и обработкой продукта азотной к-той. Нафтизин-адреномиметич. ср-во, вызывает сужение периферич. сосудов и повышение артериального давления; при нанесении на слизистые оболочки оказывает противовоспалит. эффект.

Применяют при ринитах, аллергич. заболеваниях полости носа, для остановки носовых кровотечений, при аллергич. коньюнктивитах, а также для пролонгирования действия местноанестезирующих ср-в.
Г. Я. Шварц.
*Подобраны с помощью LLM, верифицированы, но возможны неточности.
Синонимы/примеры:*
Нафазолин; Нафтизин; Нафазол; Назолин; Привин
*подобраны ИИ, возможны неточности
Ещё по теме
Нафтизин — действие, применение и противопоказания
Нафтиламины — свойства и применение
Нафазолин — инструкция по применению и особенности препарата
Нафазол-Хемофарм — капли для носа и их применение
Нафазолин-Ферейн — инструкция по применению и особенности препарата
Фенизин — свойства и применение
Имизин — свойства и применение антидепрессанта
Адреномиметические средства — свойства и применение
АФРИН — показания, противопоказания, побочные эффекты
Нафтифин — противогрибковое средство широкого спектра действия
Азирины — свойства и реакции
Анестезин — применение и свойства
N-Фенил-α-нафтиламин — свойства и применение
Нафтионовая кислота — свойства и применение
Ксилометазолин — свойства и применение
Азотол АНФ — описание и характеристики химического вещества
Оксиметазолин — показания, противопоказания, побочные эффекты
Дополнения к описанию Нафтизина: