Адреномиметические средства

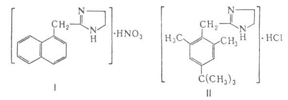
АДРЕНОМИМЕТИЧЕСКИЕ СРЕДСТВА (от адреналин и греч.1006-2.jpg -подражательный) (симпатомиметич. ср-ва), лек. в-ва, возбуждающие рецепторы, чувствительные к норадреналину и адреналину (адренорецепторы). В зависимости от того, на какие рецепторы (1006-3.jpg или1006-4.jpg) оказывают преобладающее влияние адреномиметические средства, их делят на три группы:1006-5.jpg -адреномиметические средства, вызывающие сужение кровеносных сосудов, в осн. сосудов кожи, слизистых оболочек и почек (норадреналин, мезатон, нафтизин-ф-ла. I, галазолин-П и др.);1006-6.jpg-адреномиметические средства, к-рые усиливают и учащают сердечные сокращения, расширяют кровеносные сосуды скелетных мышц, сердца и мозга, расслабляют бронхи (изадрин, орципреналина сульфат и др.);1006-7.jpg-адреномиметические средства (адреналин, тирамин, эфедрин, фенамин и др.). Адреномиметические средства могут возбуждать непосредственно адренорецепторы (адреналин, мезатон и др.) или способствовать высвобождению норадреналина из нервных окончаний (эфедрин, фенамин, тирамин и др.).
1006-8.jpg

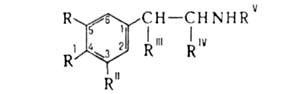
Макс. активность характерна для производных1006-9.jpg-фенил-этиламина с гидроксилами в положениях 3 и 4 ароматич. кольца (т. наз. катехоламинов; см. табл.), а также для производных имидазолина (ф-лы I и II). Увеличение размеров R в производных1006-10.jpg-фенилэтиламина приводит к увеличению1006-11.jpg-адреномиметич. активности, уменьшение его размеров-к увеличению1006-12.jpg-адреномиметич. активности. При уменьшении числа гидроксилов в ароматич. кольце понижается как1006-13.jpg-активность, так и1006-14.jpg-активность (вплоть до исчезновения).

ОРГАНИЧЕСКИЕ РАДИКАЛЫ В ФОРМУЛАХ АДРЕНОМИМЕТИЧЕСКИХ СРЕДСТВ - ПРОИЗВОДНЫХ1006-15.jpg-ФЕНИЛЭТИЛАМИНА
1006-16.jpg

Соединение
R
RI
RII
RIII
RIV
н
он
он
он
н
н
он
он
он
н
н
он
он
он
н
н
он
н
он
н
Тирамин
н
н
он
н
н
Орципреналин
он
н
он
он
н
н
н
н
н
СН3
н
н
н
он
СН3

Левовращающие изомеры производных1006-17.jpg-фенилэтиламина (напр., (-)-адреналин) в 10 раз активнее правовращающих по периферич. активности, а правовращающие активнее левовращающих по влиянию на центр. и периферич. адренорецепторы (( + )-фенамин активнее ( — )-фенамина по центр. стимулирующей активности).

Адреномиметические средства используют для повышения артериального давления1006-18.jpg купирования приступов бронхиальной астмы1006-19.jpg и1006-20.jpg сужения сосудов носа (нафтизин, галазолин).

Литература

Машковский М.Д., Лекарственные средства, 9 изд., ч. 1, М., 1984, с. 270-86; Pharmacological basis of therapeutics, ed. by L. Goodman, A. Oilman, 5 ed., N.Y., 1975, p. 477-532. С.Д.Южаков.