Оксепин
ОКСЕПИН, соед. ф-лы I; мол. м. 94,11. Незамещенный оксепин в своб. виде не выделен. Незамещенный, монозамещенные и конденсированные оксепины находятся в равновесии со своими валентными таутомерами, напр.:

В полярных р-рителях равновесие смещается в сторону соед. II, в углеводородах - в сторону оксепина. Стабильность замещенных оксепинов зависит от природы заместителей в цикле. Наиб. стабильны конденсированные оксепины, содержащие электроно-акцепторные заместители.
Оксепин и его замещенные - полиеновые системы с относительно реакционноспособными кратными связями. При нагр. или под воздействием к-т перегруппировываются в фенолы, напр.:

С малеиновым ангидридом при комнатной т-ре оксепин образует аддукт ф-лы III; при восстановлении в присут. Pd превращ. в оксепан, при УФ облучении-в 2-оксабицикло[3.2.0.]гепта-3,6-диен:

Бензо[b]оксепин (IV) при действии протонных к-т или к-т Льюиса изомеризуется в 1-нафтол; его производные при умеренных т-рах перегруппировываются в производные 1-нафтола. Бензо[d]оксепин (V) в р-рах сильных к-т претерпевает сужение цикла с образованием инденкарбальде-гида:

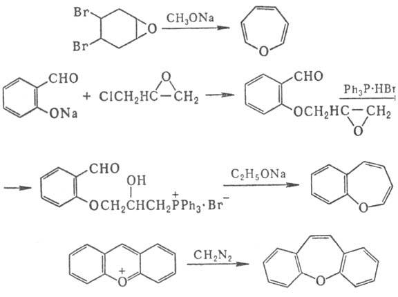
Нек-рые методы синтеза оксепина и его производных:

Лит.: Иванский В. И., Химия гетероциклических соединений, М., 1978, с. 493-95; Общая органическая химия, пер. с англ., т. 9, М., 1985, с. 213-23.
А. В. Тараканова.