Полибензотиазолы
ПОЛИБЕНЗОТИАЗОЛЫ, содержат в повторяющемся звене макромолекулы в качестве фрагмента бензотиазоль-ные циклы. Наиб. значение имеют ароматические полибензотиазолы (поли-гетероарилены) - аморфные или кристал-лич. в-ва от желтого до коричневого цвета; т. стекл. 250-5000C. Их т-ры плавления лежат выше т-ры начала разложения (500-6000C на воздухе и 7000C в инертной среде). Раств. только в конц. H2SO4 и полифосфорной к-те. Полибензотиазолы, полученные, с использованием али-фатич. дикарбоновых к-т, раств. также в HCOOH, CF3COOH, .м-крезоле.

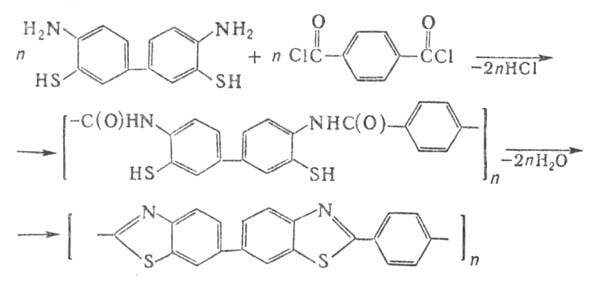
Осн. метод синтеза полибензотиазолов-полициклоконденсация бис-(о-аминотиофенолов) или их гидрохлоридов с дихлорангидри-дами дикарбоновых к-т в две стадии: сначала низкотемпературной поликонденсацией в р-ре (напр., в N,N-диметил-ацетамиде или N-метилпирролидоне) получают полимер-каптоамид (или полисульфид), к-рый затем подвергают полициклизации в виде пленки при 200—3000C:

Процесс с использованием дикарбоновых к-т проводят в полифосфорной к-те в инертной атмосфере при 200-2500C.
Полибензотиазолы получают также полициклоконденсацией бис-(о-ами-нотиофенолов) с бис-глиоксалевыми к-тами или их эфирами в м-крезоле или диоксане при 100-1500C с послед. полициклизацией образующихся полибензотиазолинов при 250-4000C; р-цией толуидина с серой с образованием плавкого и р-римого полимера, подвергающегося полициклизации при переработке (95-1550C).
Применяют полибензотиазолы для получения монолитных и армир. пластиков; из наиб. жесткоцепных ароматических полибензотиазолов формуют высокомодульные и высокопрочные волокна (sраст 40-45 МПа).
Впервые полибензотиазолы получены А. И. Киприановым в 1962.
Лит.: Коршак В. В., Термостойкие полимеры, M., 1969; Фрейзер А. Г., Высокотермостойкие полимеры, пер. с англ., M., 1971; Бюллер К.-У., Тепло- и термостойкие полимеры, пер. с нем., M., 1984. Я. С. Выгодский.