Фенантреноиндолизидиновые алкалоиды
ФЕНАНТРЕНОИНДОЛИЗИДИНОВЫЕ АЛКАЛОИДЫ, выделены в осн. из растений рода Tylophora семейства ластов-невых (Asclepiadaceae). Изредка они встречаются в отдельных видах Antitoxicum, Perguloria, Cyananchum семейства ластов-невых, а два представителя выделены из Ficus septica семейства тутовых (Могасеа).

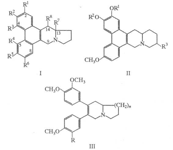
В основе скелета фенантреноиндолизидиновых алкалоидов лежат сконденсированные друг с другом кольца фенантрена и индолизидина. Напр., тилофорин ф-лы I, где R1 = R2 = R5 = R6= OCH3, R3 = R4 = R7 = R8 = H (т. пл. 273-275°,
= -15,8° в CHCl3); 13а-метилтилохирзу-тинидин I где R2 = R5 = R6 = OCH3, R1 = R3 = R4 = H, R8 = ОН, R7 = CH3; тилокребрин I, где R1 = R2 = R4,= R5 = = ОСН3, R3 = R6 = R7 = R8 = H.
К фенантреноиндолизидиновым алкалоидам близки по строению фенантренохинолизи-д и но вые алкалоиды- криптоплеурин ф-лы II, где R1=R2= CH3, R3 = H, и криптоплеуридин, где R1, R2 = CH2, R3 = ОН. Они выделены из Cryptocarya pleurosperma семейства лавровых (Lauraceae) и двух видов Boehmeria семейства крапивных (Urticaceae).
Другую группу близких к фенантреноиндолизидиновым алкалоидам в-в составляют секофе-нантренохинолизидиновые алкалоиды ф-лы III, где n = 2, R=H (яландин), и секофенантреноин-долизидиновые алкалоиды III, где n = 1, R = OCH3 (септицин). Предполагают, что эти представители являются биогенетич. предшественниками фенантреноиндолизидиновых алкалоидов. Облучение УФ светом септицина приводит к образованию смеси тилофорина и тилокребрина.
Почти все фенантреноиндолизидиновые алкалоиды синтезированы искусственно. Анализируют их методами масс-спектрометрии и УФ спектроскопии.
Фенантреноиндолизидиновые алкалоиды обладают сильным нарывным действием, нек-рые -антилейкемической (тилокребрин), противоопухолевой, антиамебной и противогрибковой (Candida) активностью.
Лит.: Manske R., The alkaloids, N. Y., 1981, р. 193; AIi M., Bhuta-ni K., "Phytochemistry", 1989, v. 28, № 12, p. 3513-17. В. И. Виноградова.