Кофеин
КОФЕИН (1,3,7-триметилпурин-2,6-дион), мол. м. 194,2; бесцв. горькие кристаллы без запаха; т. пл. 235 °С, легко раств. в горячей воде (1:2), СНСl3, трудно - в холодной воде (1:60), этаноле (1:50), диэтиловом эфире (1:1300). Кофеин-пуриновый алкалоид, выделенный из кофе (Cofea arabica L.) семейства мареновых (Rubiaceae). Кроме того, он находится в чае (Theae sincnsis) семейства
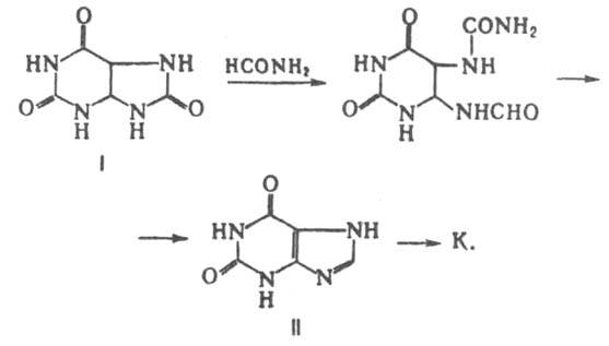
Theaceae, орехах кола (Cola acuminata Schtt et End.) семейства Sterculiaceae. Кофеин экстрагируют из отходов чая (содержание алкалоида до 5%), низкосортных кофейных бобов (до 1,5%). Однако большую часть кофеина синтезируют из мочевой к-ты (ф-ла I), напр. через ксантин (II):
Биосинтез кофеина в растениях осуществляется также через II, к-рый образуется из адeнина и гуанина. Кофеин оказывает сильное возбуждающее действие на центр. нервную систему, усиливает сердечную деятельность, стимулирует диурез. Применяется при инфекц. и др. заболеваниях, сопровождающихся угнетением функций центр. нервной и сердечно-сосудистой систем, при отравлениях наркотиками и др. ядами, при спазмах сосудов головного мозга, для повышения психич. и физич. работоспособности. Кофеин входит в состав напитка "кола". Лит.: Орехов А. П., Химия алкалоидов, 2 изд., М., 1965, с. 658-71; Дайсон Г., М ей П., Химия синтетических лекарственных веществ, пер. с англ., М., 1964, с. 174-77. М.С.Юнусов.
Синонимы/примеры:*
Кофеин-бензоат натрия; 1,3,7-триметилксантин; гуаранин; матеин; теин
*подобраны ИИ, возможны неточности
Ещё по теме
Кофеин — свойства и применение
Кофеин — свойства и применение
Свойства и применение кофеина
Кофеин — характеристики и свойства
Кофеин — свойства и методы обнаружения
Кофеин-бензоат натрия — инструкция по применению
Кофеин — свойства и влияние на организм
Кофеин-бензоат натрия — свойства и применение
Пуриновые алкалоиды — свойства и применение
Фенилаланин — свойства и значение аминокислоты
Теобромин — свойства и применение
Метенамин + Кофеин — свойства и применение
Кетамин — всё, что нужно знать о препарате
Кофеин — характеристики и опасность вещества
Никодин — свойства и применение
Ацетилсалициловая кислота и кофеин — таблетки от боли
Кетанов — инструкция по применению и противопоказания
Ксикаин — всё о препарате