Ксантин

КСАНТИН (2,6-пуриндион, ф-ла I), мол. м. 152,12; бесцв. кристаллы, при нагр. разлагаются без плавления (с возгонкой); рК 0,8 (N-3), 7,4 (N-7), 11,1 (N-1); в УФ спектре lмaкc (в нм) 267 (рН 2), 241 и 278 (рН 10); lge соотв. 4.01, 3,95 и 3.97. Легко раств. в формамиде, горячем глицерине, разб. к-тах и щелочах, плохо - в воде, этаноле, эфире. Существует в таутомерном равновесии с гидроксиформой II (равновесие сдвинуто влево):
541_560-5.jpg
С минер, к-тами ксантин образует легко гидролизующиеся соли (т-ра плавления перхлората 262-264 °С), с аммиачным р-ром AgNO3 - нерастворимую серебряную соль. Ксантин устойчив к действию горячих водных р-ров к-т и щелочей. При взаимод. с НСl при 200 oС разлагается на СО2, NH3, глицин и муравьиную к-ту. При окислении с помощью КМnО4 или КСlО3 в присут. НCl образует аллоксан (качеств. определение ксантина), при восстановлении с помощью Zn в НСl или амальгамой Na-6-дезоксиксантин; под действием P2SS в пиридине превращ. в 6-тиоксантин, с РОСl3 в присут. Н2О образует 2,6-дихлорксантин.
Электроф. замещение происходит в положение 8, напр. галогенирование приводит к 8-галогенксантину, действие солей диазония в щелочной среде - к 8-азопроизводному, к-рое далее м. б. восстановлено до 8-аминоксантина или гидролизовано до мочевой к-ты. В щелочной среде ксантин легко алкилируется сначала в положение 3, затем в положения 7 и 1 (в порядке уменьшения кислотности групп NH). Так, под действием димстилсульфата в зависимости от рН реакц. среды ксантин превращ. в 3,7-диметил-ксантин (теобромин), 1,3-диметилксантин (теофиллин) или 1,3,7-триметилксантин (кофеин). В нейтральной или слабокислой среде ксантин алкилируется диметилсульфатом по атомам N имидазольного кольца с образованием бетаиновой формы пуринового основания:

541_560-6.jpg
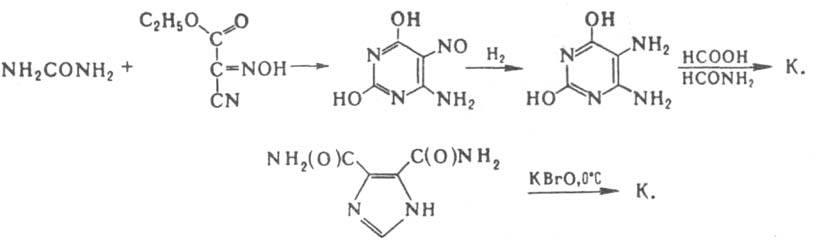
Ксантин - пуриновое основание, входящее в состав нуклеиновых к-т в качестве минорного основания. В своб. состоянии в небольших кол-вах содержится в растениях, крови, тканях и выделениях животных (в т.ч. в моче человека). Получают ксантин из мочевины и этилового эфира изонитрозо-цианоуксусной к-ты или из 4,5-дикарбамоилимидазола пол действием щелочного р-ра КВrО:
541_560-7.jpg
Ксантин также м.б. получен кипячением мочевой к-ты с формамидом, гидролитич. дезаминированием гуанидина, гидролизом нуклеиновых к-т, выделяемых из дрожжей, окислением гипоксантина в присут. фермента ксантинокси-дазы. Последняя окисляет ксантин в мочевую к-ту - конечный продукт пуринового обмена в организме человека. На этой р-ции основано количеств. определение ксантина в биол. материале. Ксантин также количественно определяют в виде серебряной соли. Применяют ксантин для полусинтетич. получения пуриновых алкалоидов, гл. обр. теобромина и кофеина. Ксантин обладает сильным диуретич. действием.
Литература
Гетероциклические соединения, под ред. Р. Эльдерфильда, пер. с англ.. т. 8, М.. 1969. с. 130-304; The chemistry of heterocyclic compound", ed. by A. Weissberger. v. 24, N. Y., 1971, p.25l 53. И.М. Овчарова

Синонимы/примеры:* Ксантин; 2,6-дигидроксипурин; 3,7-дигидро-1H-пурин-2,6-дион
*подобраны ИИ, возможны неточности