Лейкопоэза стимуляторы

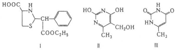
ЛЕЙКОПОЭЗА СТИМУЛЯТОРЫ, лек. ср-ва, стимулирующие деятельность костного мозга и вызывающие увеличение содержания лейкоцитов в крови. Относятся к разл. классам хим. соединений. Среди них низкомол. пептиды, получаемые из передней доли гипофиза крупного рогатого скота или свиней (эритропоэтин); нуклеинат натрия; 3-октадецилокси -1,2-пропандиол (батилол) Сl8Н37ОСН2СН(ОН)СН2ОН; 2-(a-этоксикарбонилбензил)тиазолидин-4-карбоновая к-та (лейкоген, ф-ла I); 5-гидроксиметил-6-мeтилпиримидин-2,4-диол (пентоксил) (II); 6-метил-1,2,3,4-тетрагидропиримидин-2,4-дион (метилурацил, метацил, III) и др. Св-вами лейкопоэза стимуляторов обладают также андрогены, анаболич. ср-ва, витамины. Механизм действия лейкопоэза стимуляторов не установлен.
561_579-49.jpg
Применяют при лейкопении-гематологич. симптоме, наблюдающемся при заболеваниях системы крови, а также при воздействии на организм ионизирующего излучения, хим. в-в, напр. бензола, мышьяка, ДДТ и др., лек. препаратов (цитостатич., антитиреоидных, антибиотиков, сульфаниламидных и др.).
Литература
Кассирский И. А., Алексеев Г. А., Клиническая гематология, 4 изд., М.. 1970. Г. Я. Шварц.

Комментарии*

Дополнения к описанию:

  • Механизм действия современных препаратов: многие современные ЛС действуют как факторы роста, специфически связываясь с рецепторами на клетках-предшественницах в костном мозге, стимулируя их пролиферацию и дифференцировку именно в лейкоцитарном ряду.
  • Ключевой современный представитель: Филграстим (нейпоген) и другие аналоги гранулоцитарного колониестимулирующего фактора (G-CSF) — это рекомбинантные белки, ставшие основными препаратами для коррекции нейтропении, в частности, после химиотерапии.
  • Основное клиническое применение сегодня:
    • Профилактика и лечение нейтропении, вызванной химиотерапией злокачественных заболеваний.
    • Мобилизация стволовых клеток в периферическую кровь для последующей трансплантации.
    • Врожденные нейтропении.
*Подобраны с помощью LLM, верифицированы, но возможны неточности.