Андрогены

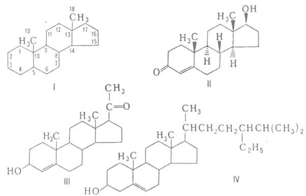
АНДРОГЕНЫ (андрогенные гормоны) (от греч. аner, род. падеж andros - мужчина и -genes - рождающий, рожденный), гормоны, стимулирующие развитие и функционирование мужской генитальной системы, развитие вторичных половых признаков, регулирующие рост и нек-рые стороны поведения человека и животных. Относятся к С19 -стероидам, в основе к-рых лежит скелет андростана (ф-ла I). Названия андрогенов по номенклатуре ИЮПАК включают корень "андрост" с разл. окончаниями: для насыщенных андрогенов - "ан", ненасыщенных - "ен", гидроксилсодержащих - "ол", карбонил содержащих - "он". Буквами1030-20.jpg и1030-21.jpg обозначают заместители, расположенные соотв. под и над плоскостью скелета молекулы. Используются также тривиальные названия.

По биологической активности андрогены условно делят на три группы: активные-171030-22.jpgгидрокси-4-андростен-З-он, или тестостерон (ф-ла II)-основной андроген млекопитающих, 171030-23.jpgгидрокси-1030-24.jpg-андростан-3-он, или дигидротестостерон: малоактивные-4-андростен-3,17-дион,1030-25.jpg гидрокси-1030-26.jpg-андростан-17-он, или андростерон; неактивные-1030-27.jpg-андростан-3,17-дион и др.

Первая стадия биосинтеза андрогенов-1030-28.jpg-гидроксилирование 31030-29.jpg гидрокси-5-прегнен-20-она (прегненолона, ф-ла III) или 4-прегнен-3,20-диона (прогестерона) с участием кофермента никотинамидадениндинуклеотидфосфата (НАДФН) и О2. Затем под действием ферментов десмолаз отщепляется боковая цепь и образуются 17-кетостероиды, напр. 31030-30.jpgгидрокси-5-андрост-17-он (дегидроэпиандростерон). Андрогены стимулируют определенные этапы сперматогенеза (андрогенное действие) и развитие вторичных половых признаков (анаболич. эффект).
1030-31.jpg

Действуя в качестве андрогена, тестостерон проникает через клеточную стенку в цитоплазму, где восстанавливается в дегидротестостерон, к-рый связывается с рецептором андрогена в активный комплекс, переносящийся в ядро клетки.

Метаболизм андрогенов происходит гл. обр. в яичниках и плаценте, где андрогены превращ. в эстрогены, а также в печени, где гидрируются двойные связи, восстанавливаются кетогруппы и образуются аддукты с глюкуроновой и серной к-тами. Обнаружены и др. пути метаболизма, напр. гидроксилирование и дегидратация андрогенов. Антиметаболитами андрогенов могут быть стероиды.

Пром. синтез тестостерона: 1) из ацилированного дегидропрегненолона:
1031-1.jpg

2) микробиол. отщепление боковой цепи у стеринов, напр.1031-2.jpg ситостерина (IV).

Синтетич. производные андрогенов, напр. пропионат тестостерона, используют при лечении сердечно-сосудистых заболеваний, в терапии рака молочных желез и др. См. также Анаболические вещества.

Литература

Ахрем А. А., Титов Ю.А., Полный синтез стероидов, М., 1967; Мейнуоринг У., Механизмы действия андрогенов, пер. с англ., М., 1979. А. В. Камерницкий.

Синонимы/примеры:* Андростен; Андроген; Андрогенный гормон
*подобраны ИИ, возможны неточности