Эстрогены

ЭСТРОГЕНЫ (эстрогенные гормоны) (от греч. oistros - возбуждение и genos - род, происхождение), группа стероидных гормонов, регулирующих формирование и функционирование женских половых органов и молочных желез, развитие вторичных половых признаков, нек-рые стороны психофиз. состояния организма млекопитающих, а в комплексе с гестагенами - беременность и лактацию.
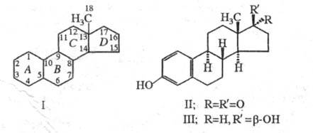
Эстрогены относятся с С18-стероидам, в основе к-рых лежит скелет эстрана (ф-ла I). Названия эстрогенов по номенклатуре ИЮПАК включает корень "эстр" с окончаниями, отражающими набор содержащихся в молекуле заместителей.
Эстрогены обнаружены в нек-рых высших растениях, преим. в цветках и плодах, напр. в плодах кокосовой пальмы, плодах и цветках ивы и пшеницы. Осн. прир. эстроген - 3-гидроксиэстра-1,3,5(10)-триен-17-он, или эстрон (ф-ла II; т. пл. 259-260 °С), и эстра-1,3,5(10)-триен-3,176042-26.jpg-диол, или эстрадиол (III; т. пл. 177-179 °С), впервые были выделены гидролизом мочи жеребых кобыл или беременных женщин.
Прир. эстрогены содержат фенольное кольцо и являются производными эстра-1,3,5(10)-триена, в к-ром имеются 4 асимметрич. атома углерода. Прир. эстрогены имеют6042-27.jpg -конфигурации асимметрии, центров, где буквами6042-29.jpg и6042-30.jpgобозначают заместители, расположенные соотв. за и перед плоскостью скелета молекулы. Другие стереоизомеры - менее или совсем биологически неактивны.

6042-28.jpg

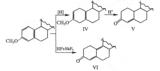
Ароматич. кольцо A в эстрогенах довольно легко восстанавливается этилатом Li в жидком NH3, напр. в случае 3-метилового эфира эстрадиола образуется диен IV, гидролизующийся в присут. к-т в 19-нортестостерон V, из к-рого в дальнейшем получают анаболич. стероиды; при действии на этот же эфир сверхкислоты (HF + SbF5) происходит деароматизация кольца с образованием диенона VI, производные к-рого обладают антигестагенной активностью:

6042-31.jpg

Осн. путь биосинтеза эстрогенов исходит из холестерина; в организме они образуются в железах внутр. секреции (яичниках, семенниках, надпочечниках) непосредственно из андрогенов при участии фермента ароматазы; напр., в организме женщины в сутки вырабатывается 300-700 мкг эстрадиола. С помощью транспортной системы крови (альбумин и глобулин, связывающий половые гормоны) эстрогены доставляются к органам-мишеням, проникают через клеточные мембраны в цитоплазму, где связываются с рецепторами эстрогенов. Образующийся рецепторный комплекс переходит в ядро клетки и активирует геном, что приводит к синтезу специфич. белков, в т.ч. рецепторов.

В организме с участием никотинамидадениндинуклеотида происходит взаимопревращение эстрона и эстрадиола. Осн. путь их метаболизма включает превращение в6042-32.jpg-гидроксиэстрадиол [эстра-1,3,5 (10)-триен-3,6042-33.jpg -триол, или эстриол], к-рый является главным метаболитом; содержание его в организме особенно возрастает в период беременности. Другой тип метаболитов - т. наз. катехольные эстрогены, к к-рым относятся 2- и 4-гидроксипроизводные эстрона и эстрадиола, выполняющие важную роль в регуляции в организме уровня нек-рых гормонов гипофиза. Эстрогены циркулируют в крови и выводятся из организма гл. обр. в виде аддуктов с глюкуроновой и серной к-тами.
Эстрогены обладают высокой биол. активностью, причем их активные концентрации на 1-3 порядка ниже, чем у др. стероидных гормонов. Для количеств. определения эстрогенов в биол. жидкостях применяют радиоиммунологич. и иммуноферментный методы, основанные на р-ции антиген-антитело, где в качестве антигена используют конъюгированный с эстрогенами белок.
Полный синтез эстрогенов включает конденсацию соед. VII, получаемого из6042-34.jpg-нафтола, с метилциклопентандионом VIII и циклизацию образовавшегося дикетона IX в кетон X, из к-рого последоват. восстановлением двойных связей и деме-тилированием получают (6042-35.jpg)-эстрон II:

6042-36.jpg

Асимметрич. синтез, как микробиологическими, так и хим. методами, из дикетона IX по этой схеме приводит к прир. (+)-эстрону.
Для произ-ва эстрогенов обычно используют частичный синтез из6042-37.jpg -ситостерина XI с микробиол. деградацией боковой цепи и трансформацией кольца А культурой Mycobacterium:

6042-38.jpg

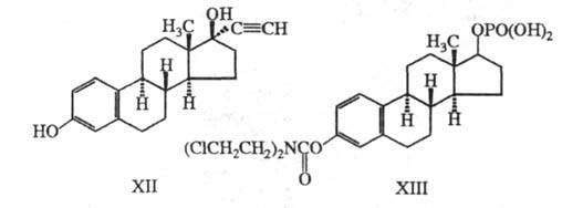
Эстрогены применяют при лечении заболеваний, связанных с недостаточной ф-цией половых желез, в т. ч. при слабой родовой деятельности, бесплодии. Прир. эстрогены при оральном приеме неактивны, поэтому используют их синтетич. аналоги. Наиб. применение получил 176042-39.jpg-этинилэстрадиол ХП, к-рый вместе с гестагенами входит в состав оральных контрацептивов, регулирующих рождаемость; 116042-40.jpg-метоксипроизводное диола ХП - моксэстрол - самый активный из всех эстрогенов. Производное эстрадиола, содержащее в молекуле группировку азотистого иприта - эстрацит (ф-ла ХШ), - лек. препарат для лечения заболеваний предстательной железы.

6042-41.jpg

Применявшаяся ранее подкормка сельскохозяйств. животных эстрогенами запрещена из-за риска попадания в организм человека эстрогенов и гл. обр. их метаболитов, вызывающих нарушение гормонального баланса.
Эстрогенным действием обладают также нестероидные соед., среди к-рых особенно активны производные стильбэстрола (гл. обр. диэтилстильбэстрол XIV); они не дезактивируются в желудочно-кишечном тракте, хотя и связываются в организме с рецептором менее эффективно.

6042-42.jpg

Лит.: Физер Л., Физер М., Стероиды, пер. с англ., М., 1964; Ахрем А. А., Титов Ю.А., Полный синтез стероидов, М., 1967; Estrogeus in the environment, ed. by J. A. McLachlan, N. Y., 1980. См. также лит. при ст. Стероидные гормоны.

В. М. Ржезников.

Синонимы/примеры:* Эстрадиол; Эстрон; Эстриол; Эстрогенные гормоны
*подобраны ИИ, возможны неточности